Bestämma massa på en planet
Hur ska jag lösa uppgiften?
Min uträkning var helt fel.
"Astronauterna Cooper och Brand ska bestämma massan på en outforskad planet.
Dom mäter diametern från rymden innan dom landar till 14.5 x 103 km.
Väl på planeten mäter dom tyngdaccelerationen till 9.30 m/s2.
Hur mycket väger planeten?"
Svarsalternativ:
1.25 x 10^24 kg
3.02 x 10^26 kg
6.52 x 10^26 kg
8.14 x 10^25 kg
7.32 x 10^24 kg
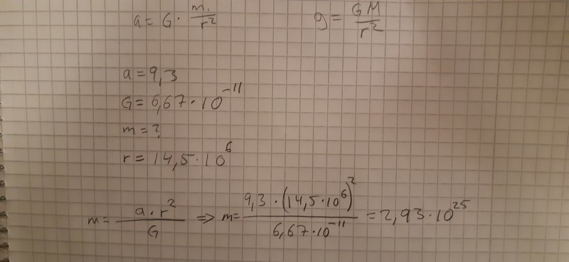
2.93 x 10^25 kg
Tyngdaccelerationen vid ytan är
där M är planetens massa, R är dess radie och G är gravitationskonstanten.
Du kan ju inte använda jordens massa om astronauterna inte är på jorden!
Vi har ju två massor i Newtons gravitationslag, men vi behöver egentligen inte veta den lilla massan om vi har tyngdaccelerationen. Det gäller ju nämligen att kraften på den lilla massan är enligt Newtons andra lag. Men Newtons gravitationslag ger även:
Kombinerar vi ihop uttrycken får vi:
Nu är allt utom planetens massa känt, och då är det bara att lösa ekvationen.
Är du med på tankesättet?
AlvinB skrev:Du kan ju inte använda jordens massa om astronauterna inte är på jorden!
Vi har ju två massor i Newtons gravitationslag, men vi behöver egentligen inte veta den lilla massan om vi har tyngdaccelerationen. Det gäller ju nämligen att kraften på den lilla massan är enligt Newtons andra lag. Men Newtons gravitationslag ger även:
Kombinerar vi ihop uttrycken får vi:
Nu är allt utom planetens massa känt, och då är det bara att lösa ekvationen.
Är du med på tankesättet?
Fick ett av svarsalternativen, men det var fel. Vad gör jag för fel?
Jag tror att jag ska dela diametern med 2 för att få ut radien.
I det här kapitlet har avståndet varit radien, men tror inte det gäller här.
Delar jag diametern med 2 får jag 7,32 • 10^24
Jo det gäller här. Du står på ett klot -- hur långt är det till centrumet? Diameter eller radie? Ta radien och problemet är fixat. Planeten liknar förresten mycket Jorden i fråga om storlek och tyngdaccelerationen, och således även densitet.