4
svar
98
visningar
Ironmann behöver inte mer hjälp
Bestämma postiva heltalet n

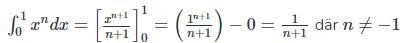
Kan någon förklara hur man går från ?
Hur kan exponenten bara försvinna?
11= 1
12=1*1=1
13=1*1*1=1
14=1*1*1*1=1
15=1*1*1*1*1=1
16=1*1*1*1*1*1=1
osv. oavsett vilken heltalsexponent.
Hur redovisar man detta på ett prov? Kan man visa det på ett matematiskt sätt?
Det borde räcka att gå från 1n+1 till 1 utan motivering.
okej tack!