4
svar
163
visningar
Bestämma samtliga lösningar till en ekvation. Svara i radier
Hej! Har prov imorgin. Skulle gärna uppskatta lite hjälp, tack!
Hur långt har du kommit?
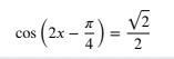
Ekvationen , .
Jag skickar med följande bild, som borde leda dig vidare.

Det står nog "svara i radianer".
dr_lund skrev:Ekvationen , .
Jag skickar med följande bild, som borde leda dig vidare.
tack så mycket jag har löst det!