Bestämma största och minsta värde för funktionen f(x,y) = x^2-2x+2y^2+2
Hej!
Min uppgift är att bestämma största och minsta värde för funktionen på området
Har ni några bra tips på hur jag ska komma igång?
Funktionen är derivebar överallt.
Kolla om du hittar några lokala extrempunkter i det inre området.
Kolla på randen.
Tack dr_lund, det ska jag göra.
Enligt känd sats kan extrempunkter endast förekomma
i) på områdets rand
ii) inuti området vid stationära punkter
iii) inuti området där funktionen ej är deriverbar
Jag sätter upp dessa tre alternativ som rubriker och börjar undersöka.
i) RANDPUNKTER Jag ska parametrarna de två delarna av randen. x=0, x^2+y^2=4.
Hur går jag tillväga?
Eftersom området är en ifylld halvcirkel så är det nog vettigt att använda polära koordinater.
i) RANDPUNKTER Jag ska parametisera de två delarna av randen, x=0, x^2+y^2=4.
Jag ska använda polära koordinater.
ii) STATIONÄRA PUNKTER Vi beräknar för vilka punkter (x, y) det gäller att Här har vi
Jag vill nu ta fram de partiella derivatorna. För att få fram inre stationära punkter sätter jag de partiella derivatorna lika med noll.
iii) PUNKTER DÄR f EJ ÄR DERIVERBAR
...
Mina frågor i detta skede är:
Kan man se detta som ett optimeringsproblem över en kompakt mängd?
Måste man använda polära koordinater? Innebär detta att man skriver om till uttryck med cos och sin?
Viken är skillnaden mellan att ta fram extrempunkterna för en HALV cirkelskiva mot om det hade varit en HEL cirkelskiva?
Kan jag ha nytta av detta exempel från KTH i lösningen av mitt problem? Det handlar om en HEL cirkelskiva Optimering exempel KTH
Mina frågor i detta skede är:
Kan man se detta som ett optimeringsproblem över en kompakt mängd?
Ja.
Måste man använda polära koordinater? Innebär detta att man skriver om till uttryck med cos och sin?
Måste och måste... det verkar i alla fal lvara det klart lättaste sättet.
Viken är skillnaden mellan att ta fram extrempunkterna för en HALV cirkelskiva mot om det hade varit en HEL cirkelskiva?
Men får undersöka hela intervallet , inte bara halva, och man behöver inte undersöka vad som händer längs y-axeln.
Tack Smaragdalena!
Ser ingen anledning till att använda polära koordinater. Se min lösning i den andra tråden.
Hej Trinity2
Vilken är ”den andra tråden” som du refererar till?
Jag parametiserar randen till 2 cos t, 2 sin t.
Vi har att vinkeln för parameterlösningen kan vara lika med eller större än 0 och lika med eller mindre än pi. Stämmer det?
Diametern i denna halvcirkel kunde man kanske beskriva som (x,y)=(0,t). Är det också en parametisering?
Hittade ej tråden, men hade lösningen sparad.



Tack Trinity2

Ytterligare en fråga har jag:

Men det finns väl inte? Hur bevisar jag det?
Räcker det att säga att polynom är deriverbara i hela ?
Räcker det att säga att polynom är deriverbara i hela R?
Det borde räcka.
Tack Smaragdalena.
Nu till min fråga om parametiseringarna.
Randen består av en linje x=0 (där y går mellan ... och ...), samt cirkelbågen x^2 + y^2 = 4, x > 0.
Så mina parameteriseringar borde fungera. Jag tror det i alla fall.
Men jag måste hålla reda på vilka tal t ska variera mellan i varje fall.
Vilka tal ska t variera mellan?
Men jag måste hålla reda på vilka tal t ska variera mellan i varje fall.
Vilka tal ska t variera mellan?
Det är bl a nu du har nytta av din skiss över området du skall integrera över, eller i det här fallet vars rand du skall integrera över. Lägg in bilden igen och skriv vad du kommer fram till!

Eller mellan som jag skrev tidigare, men det blir väl bättre med
Man kan väl även uttrycka det som att om vil kallar vinkeln t ?
Kanelbullen skrev:
Eller mellan som jag skrev tidigare, men det blir väl bättre med
Man kan väl även uttrycka det som att om vil kallar vinkeln t ?
Korrekt.
Nu har jag börjat titta på stationära punkter i enlighet med lösningn som Trinity2 visat här. Det var ju till och med samma ekvation och bivillkor!
Det är viktigt för mig att jag förstår vad det är jag gör, så jag har ändå frågor kring detta. Så här har jag skrivit:

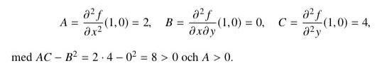
När vi nu kommer till fortsättningen och A, B, C så hänger jag inte riktigt med och undrar om jag kan få det förklarat lite närmare?
Dvs, detta som Trinity2 skrivit i sin lösning:
EDIT: Jag har nu läst mig till att det sista, med A, B, C handlar om att bestämma vilken typ av extrempunkt vi har genom att undersöka andraderivatan. Stationära punkter och deras karaktär
Jag skulle behöva hjälp med min alternativa lösning med parametisering av randen. Jag har börjat, men tycker inte riktigt att jag får till det när det gäller användandet av (2 cos t, 2 sin t).
Jag har rödmarkerat nedan där jag känner mig osäker. Hur förenklar jag uttrycket där jag sätter in (2 cos t, 2 sin t) i ekvationen för funktionen?
Hur kan jag visa att det är ett bra alternativ (enkelt) att använda parametisering av randen (de båda delarna av randen)?

Edit: Det sista blev fel, jag tror det ska vara

Du verkar ha satt in cos(t) både där det skall vara cos(t) och där det borde vara sin(t). Du har glömt att kvadrera tvåorna.
Blev detta riktigt?

Du kan förenkla lite med trig.ettan.

Förenklas vidare till
Sätter jag in vinklarna i stället för t i det förenklade uttrycket får jag för båda dessa vinklar funktionsvärdet 10. Det verkar stämma med bilden av funktionen.