Bestämma summa för en serie ( Parseval)
Hejsan, jag har fastnat på en uppgift som jag får fel svar. Jag är osäker om jag använder parsevals formel rätt:
Jag har fastnat på uppgift b.
Uppgiften:
https://gyazo.com/d4f4035a0bf2549d95576012268278f2
Facit:
https://gyazo.com/aaa931b18c7195f10e7582d7f70da737
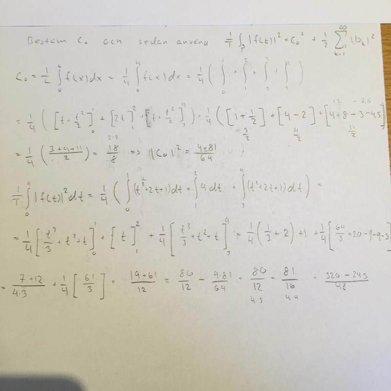
Mina uträkningar för uppgift b:
EDIT: ser nu att det verkar lite slarvigt uppställt i början på andra bilden när jag delar upp integralen i dess olika "beståndsdelar". Det jag gör är att titta på bilden i uppgiften och ser i vilket område i g(t) jag befinner mig i. Integralen över 2-3 blir noll.
EDIT2: Såg nu att slutet blir konstigt där jag helt plötsligt efter jag räknat ut svaret till integralen tar minus . Men hursomhelst så ser vi sen att svaret blir fel även om jag flyttar över 1/2
Någon som kan hjälpa mig och se vad jag gör/tänker fel :) ?
Har du/ni lyckats lösa uppgiften ännu?
Om inte tycker jag mig ana i alla fall ett fel (om inte jag räknar slarvigt?) i slutet av er rad 3 på den större bilden. Ni får fram att "hakparentesen" blir 11/2, men den blir väl snarare 9/2? Vet inte om det var enda missen men kolla igenom räkningen en gång till så ska det väl bli rätt till slut.