2
svar
58
visningar
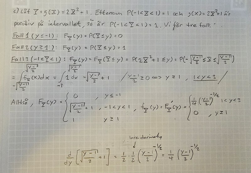
Bestämma täthetsfunktioner.
Hej, är lite osäker på om jag tänker rätt. Facit på a) är 1/(2y), vad gör jag fel? På c) tänker jag rätt? Tycker det är lite svårt att motivera lösningen. Tack på förhand 🙂


