Bestämma tredjegradsekvation utifrån bild
jag tror jag ska använda mig av den polära formen men vet inte hur
Det låter som en klok idé.
Du kan ju uttrycka de tre rötterna på polär form och helt enkelt se vad , och blir.
Det enklaste är ju att börja med
Yngve skrev:Det låter som en klok idé.
Du kan ju uttrycka de tre rötterna på polär form och helt enkelt se vad , och blir.
Det enklaste är ju att börja med
Är detta rätt? 
Hej.
Kontrollera dina rötter, stämmer de med den givna bilden?
Yngve skrev:Hej.
Kontrollera dina rötter, stämmer de med den givna bilden?
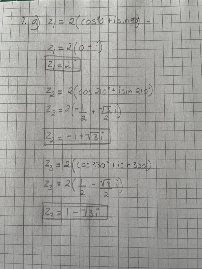
nej det gör dem inte
Hittar du felet?
Yngve skrev:Hittar du felet?
Nej..
Tips: Dubbelkolla vad cos(210°), sin(210°), cos(330°) och sin(330°) är.
Yngve skrev:Tips: Dubbelkolla vad cos(210°), sin(210°), cos(330°) och sin(330°) är.
cos 210: sin 210:
cos 330: sin 330: ?
Ja det stämmer. Ser du då vad du har gjort fel?
Yngve skrev:Ja det stämmer. Ser du då vad du har gjort fel?
Japp, hur gör jag då för att få fram z3, multiplicerar jag z1,z2 och z3?
Du ska ange en tredjegradsekvation som har dina rötter , och som lösningar.
Det innebär att följande tre sanband ska gälla:
Du känner till de tre lösningarna, så det enda du behöver göra är att ta reda på vad är.
Tips om du kör fast
Det gör du enklast genom att helt enkelt beräkna , och och konstatera att de alla ger samma tal . Enklast är att göra detta med talen representerade i polär form.Yngve skrev:Du ska ange en tredjegradsekvation som har dina rötter , och som lösningar.
Det innebär att följande tre sanband ska gälla:
Du känner till de tre lösningarna, så det enda du behöver göra är att ta reda på vad är.
Tips om du kör fast
Det gör du enklast genom att helt enkelt beräkna , och och konstatera att de alla ger samma tal . Enklast är att göra detta med talen representerade i polär form.
Blir det då
Nej det gäller ju att så du får .
Yngve skrev:Nej det gäller ju att så du får .
okej! och då blir det -8i?
Ja.
Pröva nu om även och blir lika med