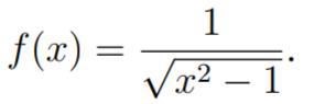
bestämma värdemängd samt jämn/udda (envariabelanalys)

Jag ska bestämma värdemängden till denna och blev lite fundersam till hur man ska komma fram till själva uträkningen. Började med att
Steg 1: låta x gå mot +- oändligheten och får gränsvärdet 0
Steg 2: låt x gå mot odefinierat värde +- 1 men fick inte riktigt till någon uträkning då jag inte visste hur jag ska skriva om denna för att låta den gå mot +-1 då det blir noll i nämnaren men antog då att det blir oändligt litet i nämnaren och ger då ensidigt gränsvärde som går mot oändligheten. gränsvärde existerar ej där men det fanns ett vänster/höger gränsvärde som går mot oändligheten. räcker det som förklaring eller är det tänkt att man ska skriva om detta som visar det?
Steg 3: testade f(-x) och fick f(x) och antar då att den är jämn
Är det något jag missar? Känns inte övertygande
EDIT: Glömde nämna i steg 2 att med det sagt så borde värdemängden vara 0 < f(x) < oändligheten
Steg 1: Definitionsmängden är x>1 eller x<-1
Steg 2: Om x går mot (positiva eller negativa) oändligheten går f(x) mot 0+.
Steg 3: Om x går mot 1 från höger eller mot -1 från vänster så växer funktionen mot oändligheten. Värdemängden är alltså f(x)>0
Steg 4: f(x) = f(-x) så det är en jämn funktion.
Om du vill vara mer formell med värdemängden så kan du visa att ekvationen
= a
har en lösning om och endast om 0 < a < .
Hej M. M.,
- Om så är .
- Om så är
- Om så är och är inte ett reellt tal.
Smaragdalena skrev:Steg 1: Definitionsmängden är x>1 eller x<-1
Steg 2: Om x går mot (positiva eller negativa) oändligheten går f(x) mot 0+.
Steg 3: Om x går mot 1 från höger eller mot -1 från vänster så växer funktionen mot oändligheten. Värdemängden är alltså f(x)>0
Steg 4: f(x) = f(-x) så det är en jämn funktion.
jag är med på dessa steg men räcker det med att skriva det eller ska man inte visa någon uträkning för alla dina steg (förutom steg 4), det är det som jag undrar om man behöver visa det för att övertyga någon eller räcker det med att bara påstå det?
PATENTERAMERA skrev:Om du vill vara mer formell med värdemängden så kan du visa att ekvationen
= a
har en lösning om och endast om 0 < a < .
yes men visar jag det genom mitt steg 2 eller är det tänkt att göra annan lösning där?
Jag menar att du faktiskt kan lösa ekvationen. Antag att a > 0 och lös ekvationen.
Antag att a 0 och förklara varför det inte kan finnas någon lösning.
okej tack för hjälpen!