bestemma vinkeln C
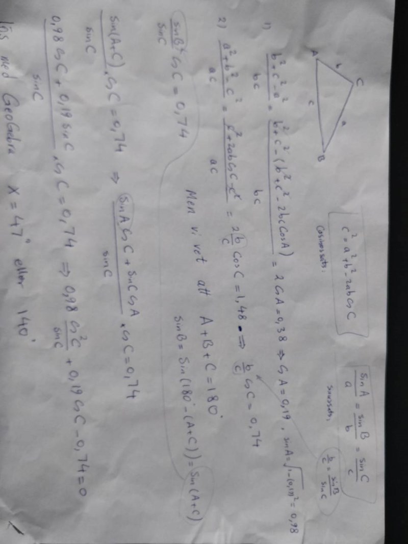
I triangeln ABC gäller att a är motstående ssida till vinkel A, b är motstående sida till vinkel B och c är motstående sida till vinkel C. Bestämm C giivert att (b^2+c^2-a^2)/bc=0,38 (a^2+b^2-c^2)/ac=1,48. Avrunda till heltal.
jag vetinte hur jag ska göraa för att lösaa den. jag fick ut c och satte ihop de men hjälpte inte mig
Standardfråga 1a: Har du ritat?
Smaragdalena skrev :Standardfråga 1a: Har du ritat?
jaa jag ritade:

Ladda upp din figur.
Visa hur du försökt.
joculator skrev :Ladda upp din figur.
Visa hur du försökt.
uppe nu men vet ej vad jag ska rita mer än det.
alireza6231 skrev :
facit säger 59grader?
joculator skrev :Ladda upp din figur.
Visa hur du försökt.
Jag gjorde så: b^2+c^2-a^2=0,38bc. a^2+b^2-c^2=1,48ac. (b^2+c^2-a^2)/0,38b=c. (a^2+b^2-c^2)/1,48a=c.
(b^2+c^2-a^2)/0,38b=(a^2+b^2-c^2)/1,48a). Men vet inte om jag ska lösa deet på detta sättet. Vad tror du?
Svaret 59 grader i facit är fel eftersom om vi antar C= kommer vi fram en kontrast:
alireza6231 skrev :Svaret 59 grader i facit är fel eftersom om vi antar C= kommer vi fram en kontrast:
Hej!
Hur får du ihop det? :)
Lite nyfiken!
lamayo skrev :alireza6231 skrev :Svaret 59 grader i facit är fel eftersom om vi antar C= kommer vi fram en kontrast:
.
Förstår inte heller riktigt hur du menar. Kan du försklara hur du gör?
förlåt!jag kan inte förklara tydligare än jag skrivit.
alireza6231 skrev :förlåt!jag kan inte förklara tydligare än jag skrivit.
ok,jag läser igenom en gång tilll. tack!
