Ser du någon lösning "utan att räkna"?
Jag är osäker på sådana här uppgifter.
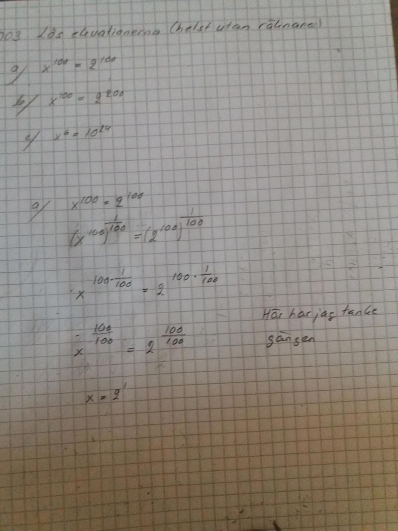
Vad blir kvar om båda led upphöjs till 1/100?
Hur blir det med tecken +/-?
Basen blir 2
Ja, 2 är en lösning. Finns det någon mer?
Jag är väldigt osäker på det här. Jag vet inte ens om jag har gjort rätt. Letar liknande uppgifter fall jag kan få hjälp från annat håll.
Jag ställer inte fråga om sådant när jag inte vet.
Du vet värdet på x^100.
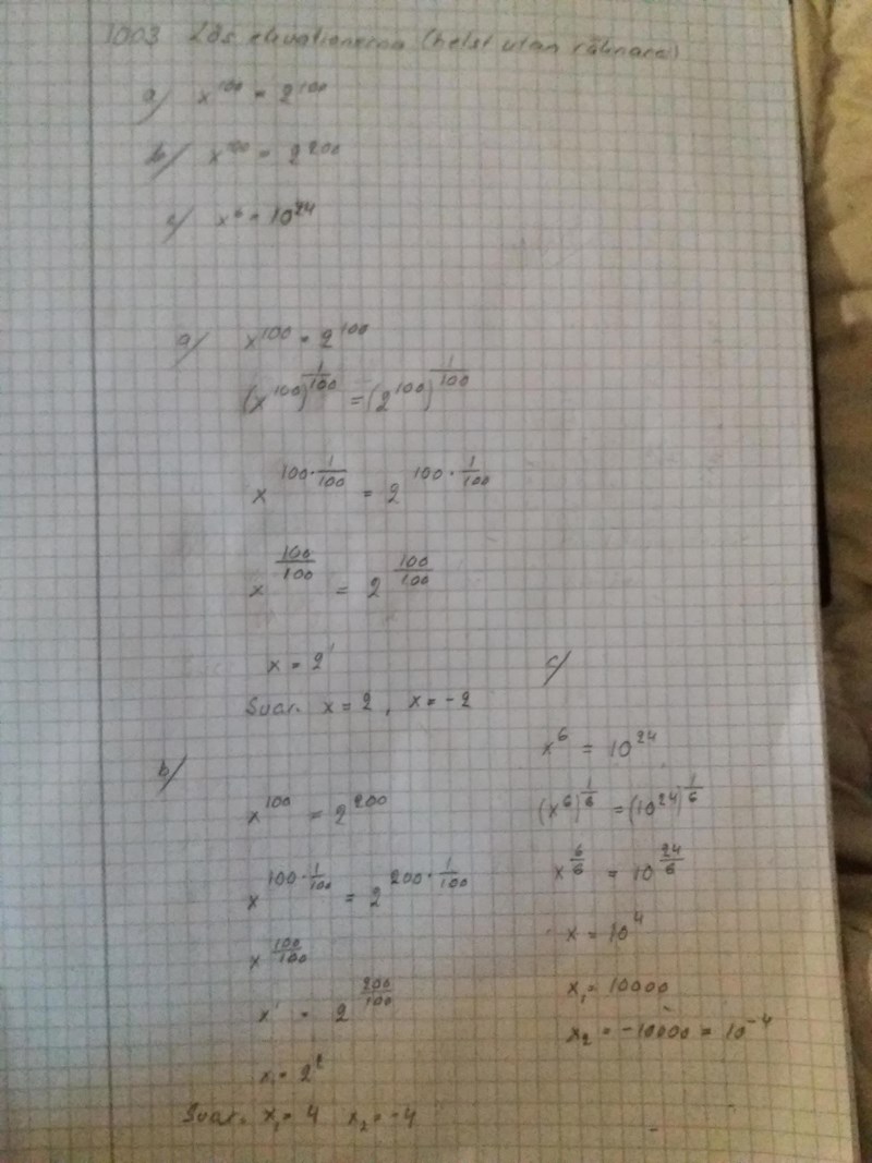
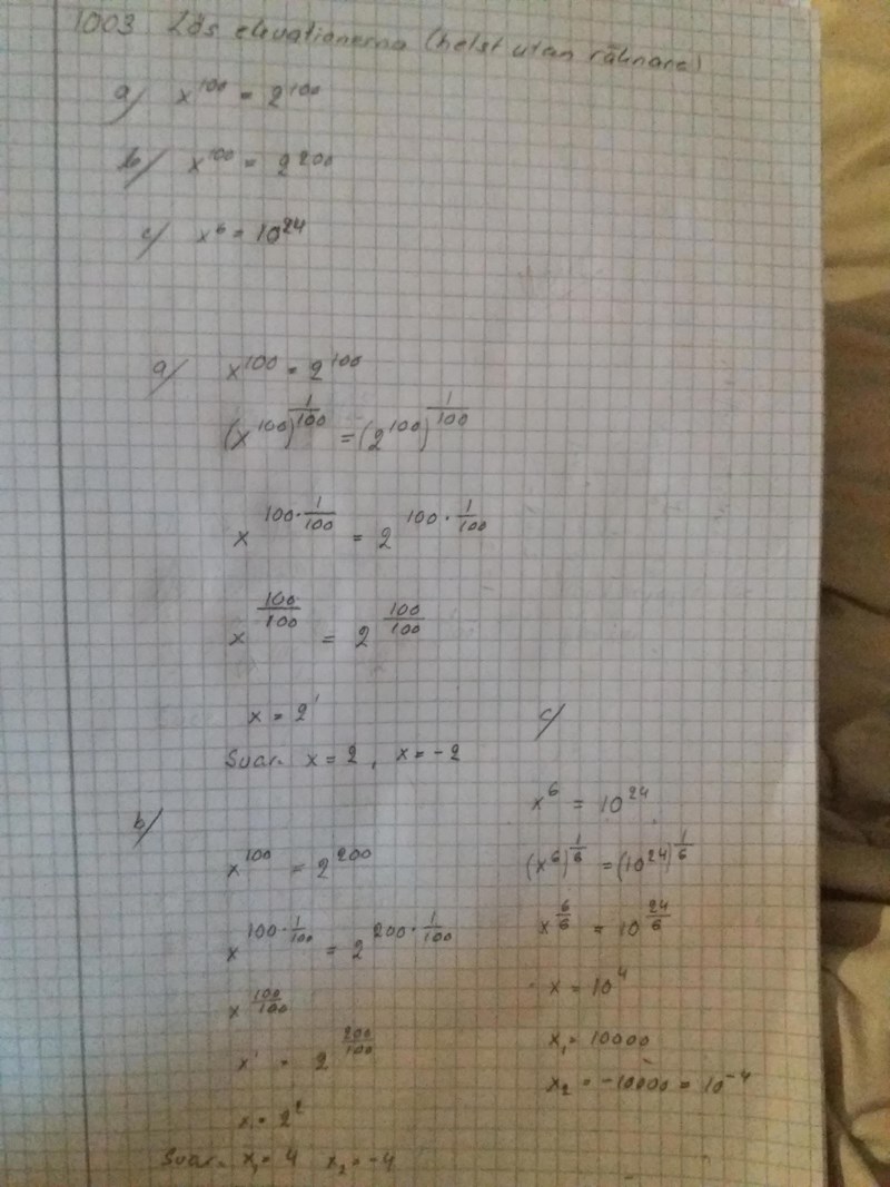
Upphöj båda led till 1/100 så får du ut x, här 2.
Eftersom 100 är en jämn exponent är även -2 en lösning.
De två lösningarna är
x = 2
x = -2
Jag vet inte ens om jag har rätta tankar som jag har gjort. Jag vill veta det.
Jag ser inte någonstans hur du tänker och hur du har försökt lösa ekvationen.
Ok!
Jag får leta något annat liknande och leta något från internet.
Mycket sorgligt.
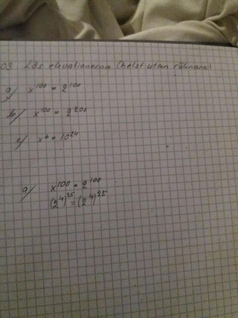
Hur går man tillväga med detta utan miniräknare?
Jag ställer inte onödigt frågor.
Läs om potensekvationer
Det står ingenstans om det. Jag har tittat.
Tack för all hjälpen Dr,G
Om man räknar med alla komplexa lösningar också, så är det så att en polynomekvation där den högsta potensen av x är 100 har 100 lösningar, varken mer eller mindre (men då räknar man dubbelrötter 2 ggr, trippelrötter 3 ggr o s v), men de flesta av dessa rötter är komplexa. Men det gör i alla fall att man måste fundera på om det finns mer än en reell rot när man har fått fram en reell rot - och om det är som i ditt fall att det är en potenrekvation, d v s bara x upphöjt till nånting blir ett tal - så är det alltid så att om exponenten är jämn, så finns det två lösningar - x = nånting och x = minus samma sak. Det är som med ekvationen - när du har hittat lösningen x = 4 så är du inte klar än.
Hur går det med uppgift b och c?
Sådana där kan man. Det här vill jag veta utan räknare. Räknare kan tala om detta, men jag nöjer inte med det.
Då förstår jag det som att du kan lösa ekvationen med miniräknare, men vill veta hur man gör utan miniräknare.
Om du visar vad du slår in på räknaren så kan vi visa hur du med potenslagarna kan förenkla uttrycket och räkna ut det med papper och penna.
Päivi skrev :Jag är väldigt osäker på det här. Jag vet inte ens om jag har gjort rätt. Letar liknande uppgifter fall jag kan få hjälp från annat håll.
Jag ställer inte fråga om sådant när jag inte vet.
Det är väldigt svårt att veta vad man skall svara när du skriver så här. Vad är "det här"? Eftersom du inte har visat ordentligt hur du har gjort, går det inte att svara på om du har tänkt rätt. Hurdana skall uppgifter vara för att vara "liknande"?
Du skulle kunna ställa frågor som det vore mycket lättare att svara på om du skriver vad det är du funderar på istället för att skriva "det". Som du vet är vi inte särskilt duktiga på tankeläsning här på Pluggakuten.
Den enkla lösningen på a-uppgiften är att om så är x = 2 en lösning. Det krävs lite mer tankemöda (men bara lite) för att förstå att x = -2 också är en lösning.
Nu löser du a och b på rätt sätt. Dock missar du de negativa lösningarna. Jämför med hur du löser
x^2 = 100
så får du både 10 och -10 som lösning.
Gör likadant på c. Som du ser så behövs inte miniräknaren.
Varför det minus 2 beror på att 100 är jämn tal. Om man tänker på andragrafs ekvation
ex
x^2= 4
betyder det att svaret skall vara +/- svar alltså +/-2
Det här är enkla saker, men det var värre när exponenten är 100 mitt i allt. Där blev jag fundersam på. Hur kan man räkna detta utan miniräknare tänkte jag. Jag har visat nu tanke gången här.
Bra, Päivi!
Slarvfel på sista dock. -10^4 är inte samma sak som 10^(-4).
Error




