Besvärlig sak
Jag behöver förklaring nu för denna uppgift. Kan inte presentera detta. Jag kommer ingenstans med uppgiften. Förstår inte, hur man kommer fram till (0:5)
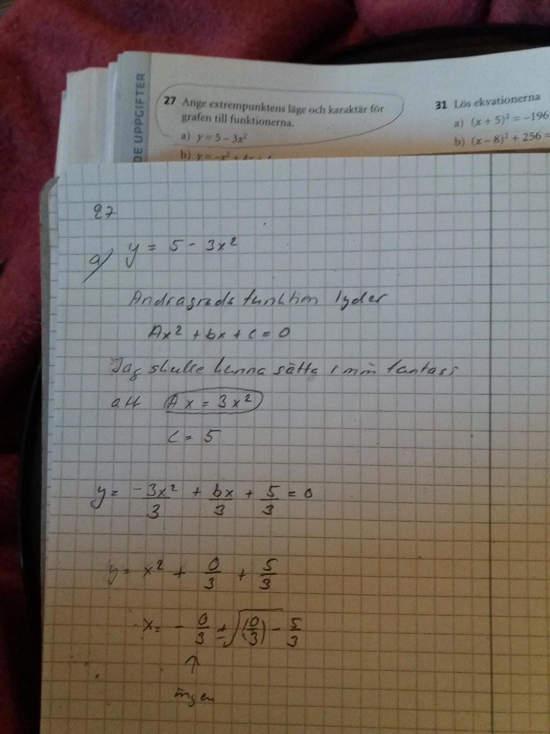
Har gjort ett försök, men detta leder inget vart.
Du väljer 3 som gemensam nämnare, men du borde välja -3 som gemensam nämnare.

Hej!
Är inte bekant med begreppet extrempunkt, men metoden för att få fram dess koordinater som som beräkning av Vertex, har jag för mig.
För att beräkna vertex behöver du symmetrilinjen, som du får enligt förljande - (p/2), vid omskrivning till pq formeln:
C-konstanten ska dock vara - (5/3) eftersom jag antar att du vill dividera med -3 för att få x^2 termen i denna form x^2.
Pq-formeln bör ge att symetrilinjen = 0, eftersom - (-0/6) = 0 ( tänk på att det bli - (p/2) --->
- (0/3) / -2 = (0/6).
Detta ger att x-koordinaten för extrempunkten är 0, för att beräkna y-koordinaten sätt x = o, då får du konstanten C.
Det kanske blev lite rörigt men fråga om eventuella frågetecken skulle dyka upp. Ett tips är att repetera pq-formeln lite så hänger du med, i övrigt ser dina beräkningar fina ut. Lycka till!
//PluggaSmart
Jag börjar förstå nu.
Hej Päivi.
Här är ett kortfattat men tillräckligt lösningsförslag:
Funktionen är , vilket kan skrivas som .
En andragradsfunktion på formen har följande egenskaper:
- Om så är vertex en minimipunkt.
- Om så är vertex en maxpunkt.
- Vertex ligger på symmetrilinjen, som ligger vid .
I detta fallet är , och .
Alltså har funktionen en maxpunkt på symmetrilinjen som ligger vid .
Funktionsvärdet vid maxpunkten är .
Svar: Funktionen har en maxpunkt vid (0: 5).
Jag förstår