Beteshage
Hur ska jag ställa upp det här blev jag fundersam på.

Päivi skrev :Hur ska jag ställa upp det här blev jag fundersam på.
Jättebra början, den långa sidan är förstås 300-2x. Helt rätt. OCh arean är precis som du har skrivit x(300-2x) om arean är y kvadratmeter som det står i instruktionen, hur kan du då bestämma y som funktion av x ?
Päivi skrev :Hur ska jag ställa upp det här blev jag fundersam på.
Hej Päivi. Du har ställt upp ett korrekt uttryck för beteshagens area. Var det det du undrade?
Det fattas ju en sida. Detta är bara tre sidor. Har inte kommit på detta än.
Päivi skrev :Det fattas ju en sida. Detta är bara tre sidor. Har inte kommit på detta än.
Ja alltså dom korta sidorna heter x och du vet att allt ska vara totalt 300m om vi kallar den långa sidan för z. Då har du att 2x+z=300m och då är den långa sidan z=300-2x Förstår du? :)
Rita in Z på den långa sidan och sedan vet du att du har totalt 300m långt staket .
Yngve skrev :
Päivi skrev :
Hur ska jag ställa upp det här blev jag fundersam på.

Hej Päivi. Du har ställt upp ett korrekt uttryck för beteshagens area. Var det det du undrade?
Kan jag skriva så här?
y= x(300-2x)
y= 300x -2x^2
b ) uppgiften får jag väl göra värdetsbell som vanligt och avgöra av grafen. Är det lättast vad jag ska skriva
Päivi skrev :Yngve skrev :Päivi skrev :Hur ska jag ställa upp det här blev jag fundersam på.
Hej Päivi. Du har ställt upp ett korrekt uttryck för beteshagens area. Var det det du undrade?
Kan jag skriva så här?
y= x(300-2x)
y= 300x -2x^2
Ja, precis så ska det vara. Nu har du en funktion för arean
Jag menade såhär arnars: 
Visar bild. Vi har tre sidor som är tillsammans 300m. Två av sidorna är ju 2x.
Sidan som fattas heter ju l= 300-2x
jag kallar B = bredden
L = längden.
2x + L = 300
L = 300-2x
Yngve skrev :
Päivi skrev :
Hur ska jag ställa upp det här blev jag fundersam på.

Hej Päivi. Du har ställt upp ett korrekt uttryck för beteshagens area. Var det det du undrade?
Jo, jag undrade hur man sa ställa upp det här som funktion.
Päivi skrev :Visar bild. Vi har tre sidor som är tillsammans 300m. Två av sidorna är ju 2x.
Sidan som fattas heter ju l= 300-2x
jag kallar B = bredden
L = längden.
2x + L = 300
L = 300-2x
Japp, exakt. Bra där med L, jag bara tog Z som exempel men L låter ju bättre för längd förstås.
Behövde du hjälp med b) och c) också ?
Ska jag göra värdetabell och graf för att kunna avgöra något där, när det gäller B uppgift? Det kanske är lättast så. Har inte hunnit så långt ännu. Är bara fundersam.
Päivi skrev :Yngve skrev :
Päivi skrev :
Kan jag skriva så här?
y= x(300-2x)
y= 300x -2x^2
Ja det är rätt och det är svaret på a-uppgiften.
Du kan skriva y(x) = x(300-2x) eller y(x)=300x - 2x^2.
På det sättet blir det tydligt att arean y är en funktion av x, dvs att storleken på arean y beror på storleken av längden x.
b ) uppgiften får jag väl göra värdetsbell som vanligt och avgöra av grafen. Är det lättast vad jag ska skriva
Nej du behöver inte göra en värdetabell för att besvara b-uppgiften. De frågar ju efter definitionsmängden. Det är alltså mängden av de tillåtna värdena på variabeln x.
Alla x är tillåtna men inte negativa värden i det här fallet.
x > 0
x < 300
alltså
0< x < 300
jag menar att sidorna måste vara mindre än 300 m, eftersom, stängslet tillsammans nu är 300m och därför anser jag så här.
Päivi skrev :Ska jag göra värdetabell och graf för att kunna avgöra något där, när det gäller B uppgift? Det kanske är lättast så. Har inte hunnit så långt ännu. Är bara fundersam.
Definitionsmängd betyder antal verkliga värden på x som är tillåtna, antal x som är tillåtna för att arean ska vara verklig. om grafen till funktionen är arean, vilka x är tillåtna för att värdet på arean ska vara realistisk?
Päivi skrev :Alla x är tillåtna men inte negativa värden i det här fallet.
x > 0
x < 300
alltså
0< x < 300
jag menar att sidorna måste vara mindre än 300 m, eftersom, stängslet tillsammans nu är 300m och därför anser jag så här.
Bra tänkt och nästan rätt Päivi.
Försök att rita en beteshage med ett väldigt litet x och en annan med ett väldigt stort x så hoppas jag att du själv ser vad som blev fel.
OBS du behöver inte rita i skala. En grov skiss blir bra.
Det blir bra träning för dig att kontrollera dina svar.
Gör två skisser för dig själv (du behöver inte visa dem) och berätta sedan här vad du kommer fram till.
- Lyckas du rita en beteshage med ett x nära den undre gränsen?
- Lyckas du rita en beteshage med ett x nära den övre gränsen?
Kan det vara så, eftersom vi har båda bredden heter ju 2x i detta fallet.
2x= 300
x= 300/2
x = 150
då måste det bli
0< x < 150
Detta betyder att ena sidan är 150 meter. 2 andra sidorna vet vi att de heter x. De har sin längd också. Sidan kan inte vara längre än 150 eftersom längden är ju 150 m. Bredden än ju kortare än längden,
Yngve skrev :Det blir bra träning för dig att kontrollera dina svar.
Gör två skisser för dig själv (du behöver inte visa dem) och berätta sedan här vad du kommer fram till.
- Lyckas du rita en beteshage med ett x nära den undre gränsen?
- Lyckas du rita en beteshage med ett x nära den övre gränsen?
Vad menar du nu Yngve 1 och 2. Menar du att jag gör graf och tabell?
Päivi skrev :Kan det vara så, eftersom vi har båda bredden heter ju 2x i detta fallet.
Jag förstår inte vad du menar med det du skrev här.
2x= 300
x= 300/2
x = 150
då måste det bli
0< x < 150
Ja det stämmer.
Detta betyder att ena sidan är 150 meter. 2 andra sidorna vet vi att de heter x. De har sin längd också. Sidan kan inte vara längre än 150 eftersom längden är ju 150 m. Bredden än ju kortare än längden,
Jag förstår inte vad du menar ned att "sidan inte kan vara längre än 150 m eftersom längden är 150 m".
Det stämmer att dedinitionsmängden är 0 < x < 150, men jag förstår alltså inte din motivering.
Ta god tid på dig, det är inte bråttom Päivi.
Vi har 2x och 300 m är tre sidor.
300/2= 150.
Max kan vi få 150 m, men vi vet inte hur lång är x . x måste bara mindre än 150.
Vi kan inte få under noll
för då blir det ingenting alls.
Päivi skrev :Om längden nu är 150 m. Vi vet inte hur lång är ena sidans bredd. Vi har två stycken bredd. Stängslet är 300 m
2 B + L= 300
2 B= 300
L= 150 m
Jag förstår inte riktigt det här nu.
En enkel förklaring till att x måste vara mindre än 150 meter är följande:
De båda sidorna som var och en är x meter långa måste tillsammans vara kortare än 300 meter, annars räcker inte stängslet.
Det ger oss olikheten 2x < 300, vilket innebär att x < 150.
Det håller jag med dig Yngve!
Blir det tydligare med den här bilden? Den försöker visa de två extremfallen, när ena sidan av beteshagen är väldigt kort.

Päivi skrev :Det håller jag med dig Yngve!
OK bra.
Förstår du även hur beteshagen ser ut då x är väldigt liten (nära 0 meter) och då x är väldigt stor (nära 150 meter)?
Bubo skrev :Blir det tydligare med den här bilden? Den försöker visa de två extremfallen, när ena sidan av beteshagen är väldigt kort.
Haha samma tanke Bubo ;-)
Päivi skrev :Yngve skrev :Det blir bra träning för dig att kontrollera dina svar.
Gör två skisser för dig själv (du behöver inte visa dem) och berätta sedan här vad du kommer fram till.
- Lyckas du rita en beteshage med ett x nära den undre gränsen?
- Lyckas du rita en beteshage med ett x nära den övre gränsen?
Vad menar du nu Yngve 1 och 2. Menar du att jag gör graf och tabell?
Nej jag menade att du skulle rita två beteshagar, en där x är väldigt litet och en där x är väldigt stor. Jag tänkte att du då skulle se att x inte kunde vara så stort som 300 meter eftersom det då skulle behövas 600 meter stängsel. Men det är överspelat nu.
Yngve skrev :Päivi skrev :Det håller jag med dig Yngve!
OK bra.
Förstår du även hur beteshagen ser ut då x är väldigt liten (nära 0 meter) och då x är väldigt stor (nära 150 meter)?
Ja, då det gör jag, Yngve!
Jag somnade och har nyligen vaknat upp igen. Gjorde i ordning djuren nyss. Nu är jag igen här.
Då måste svaret vara
på B uppgiften
0<x< 150
c uppgiften har jag klarar av.
Det frågas efter värde mängd på c uppgiften. Det är då
0< y < 11250
Det har jag fått genom att dividera med 150 med två. Har fått symmetri linjen
Använt den till x funktionens x. Visar bild.
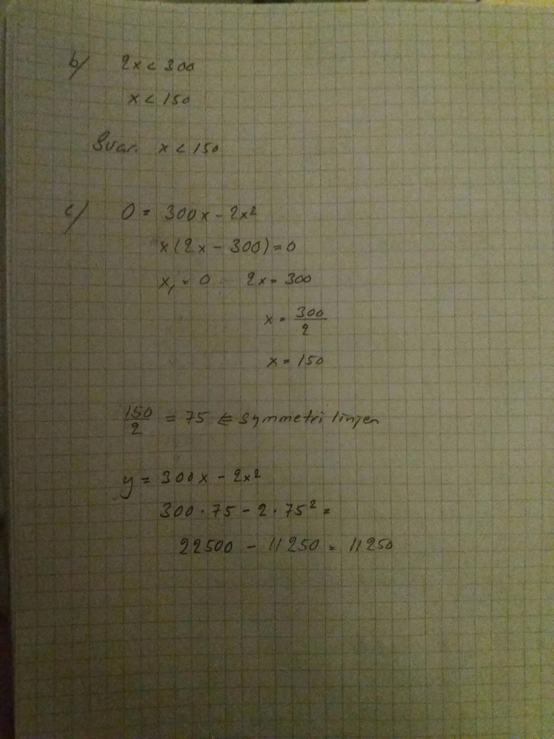
Päivi skrev :Då måste svaret vara
på B uppgiften
0<x< 150
c uppgiften har jag klarar av.
Det frågas efter värde mängd på c uppgiften. Det är då
0< y < 11250
Det har jag fått genom att dividera med 150 med två. Har fått symmetri linjen
Använt den till x funktionens x. Visar bild.
Ja det här stämmer. Men det är inte så du har skrivit svaren för hand.
Jag skrev före till tråden och har inte än fyllt på. Jag kan svara i tråden också före, innan jag skriver den. Jag har ändå räknat ut, fast jag inte hade skrivit den.
Värde mängden i detta fall är y värdet. Det är alltså arean. När x blir påverkad då händer något med y värden.
Päivi skrev :Jag skrev före till tråden och har inte än fyllt på. Jag kan svara i tråden också före, innan jag skriver den. Jag har ändå räknat ut, fast jag inte hade skrivit den.
Lägg inte upp bilder på uträkningar som du vet inte stämmer Päivi. Det är bara en massa extra onödigt arbete för oss.
Värde mängden i detta fall är y värdet. Det är alltså arean. När x blir påverkad då händer något med y värden.
Ja det stämmer. Sambandet mellan x och y har du korrekt beskrivit i svaret på a-uppgiften.
Vad är det som är fel nu då Yngve?
Päivi skrev :Vad är det som är fel nu då Yngve?
Du skrev rätt i tråden (bild 1) men fel i blocket (bild 2). Jag påpekade att det var fel i blocket. Då skrev du:
Jag skrev före till tråden och har inte än fyllt på. Jag kan svara i tråden också före, innan jag skriver den. Jag har ändå räknat ut, fast jag inte hade skrivit den
Just detta var för mig lite svårt att förstå, men jag tolkade det som att du la upp bilden på dina uträkningar trots att du visste att de inte var korrekta. Ich då skrev jag att du inte ska göra det.
Flrklaring: Om du lägger upp en bild på dina uträkningar utan kommentar så är det flera av oss som går igenom uträkningarna för att hjälpa dig att hitta eventuella fel. Det arbetet görs i onödan om du lägger upp saker som du själv vet inte är korrekta.
Fråga: Förstår du då vad jag menade?
OBS! Det är såklart OK att lägga upp saker som du är osäker på eller till och med vet att det är fel, men då bör du kommentera det så vi inte tror att du tror att det är rätt och att vi därför jobbar i onödan.
Bild 1:

Bild 2:

Jag tar det snart. Kollar det där. Pratar i telefonen just nu Yngve!
Jag ska försöka med detta. Jag visar inget mer från blocket. Gör allt från formeleditorn.
Läs Yngve.
Päivi skrev :Jag ska försöka med detta. Jag visar inget mer från blocket. Gör allt från formeleditorn.
Läs Yngve.
Det jag vill, och det jag har bett dig om massor med gånger tidigare, är att du kollar, dubbelkollar och trippelkollar allt du lägger ut här på PA, oavsett om det du lägger ut består av bilder på handskrivna uträkningar, textinlägg eller formler från formeleditorn.
Du får gärna lägga ut saker från blocken Päivi, men jag vill att du kollar, dubbelkollar och trippelkollar innan du lägger ut det, precis som med allt annat.
- Om du vet att det du lägger ut är fel så vill jag att du skriver det så att vi inte går igenom, hittar och påpekar fel i onödan. Att lägga ut sådant utan att skriva någon kommentar är helt enkelt ett hänsynslöst slöseri med vår tid.
- Om du är osäker på om det du lägger ut är rätt så vill jag att du skriver det så att vi kan hjälpa dig att hitta felen och i så fall påpeka dem.
Frågor:
- Förstår du att vi som svarar gör det oavlönat, på vår fritid, vid sidan av vår huvudsysselsättning?
- Förstår du att vi vill att så många frågande som möjligt ska få så mycket uppmärksamhet och så bra svar som möjligt?
- Förstår du att vi därför inte vill lägga en massa tid på onödigt arbete?
- Förstår du att vi hellre vill lägga den tiden på andra hjälpsökande?
Päivi, du har nu skrivit över 3 000 (!) inlägg här på Pluggakuten. Då förväntar jag mig att du förstår och respekterar detta. Jag förväntar mig att du alltså gör ditt yttersta för att undvika att vi lägger ner onödigt arbete på att läsa, räkna och kommentera inlägg bara för att du har hastat iväg dem utan att först kontrollera dem.
Det gör jag. Jag kommer fråga ännu mindre hjälp i fortsättningsvis. Jag har haft några frågor ytterligare men lägger inte ut dem. Nu ska jag gå till ny kapitel.
Päivi, vi vill absolut inte att du skall tro att du inte får lägga upp precis hur många frågor du behöver här på Pluggakuten. Vi vill bara att du gör vad du kan för att förklara vad det är du egentligen behöver hjälp med, så att vi inte gör en massa arbete i onödan (om du redan vet att något är fel).
Päivi skrev :Det gör jag. Jag kommer fråga ännu mindre hjälp i fortsättningsvis. Jag har haft några frågor ytterligare men lägger inte ut dem. Nu ska jag gå till ny kapitel.
Men Päivi, det var inte alls så jag menade.
Antingen väljer du nu att missförstå mig medvetet eller också förstår du verkligen inte vad jag vill säga. Jag vet inte vilket som är värst.
Det jag säger är INTE att du ska sluta att lägga ut frågor, det jag säger är att du ska
- kolla, dubbelkolla och trippelkolla allt du lägger ut så att du inte skickar med onödiga slarvfel.
- vara tydlig med vad du vill att vi ska göra med det du lägger ut så att vi inte gör saker i onödan.
Finns det någon annan där ute som förstår och kan hjälpa mig att förklara för Päivi vad jag menar?
Jag förstår dig Yngve!!!
Jag kommer försöka med det, Yngve.
Päivi skrev :Jag förstår dig Yngve!!!
Jag kommer försöka med det, Yngve.
Bra. Fortsätt att skicka massor av frågor!

