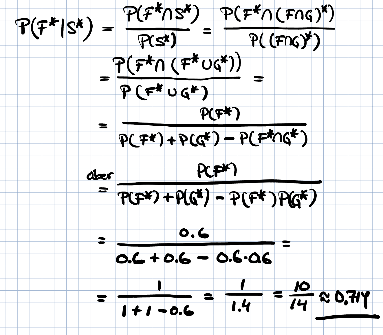
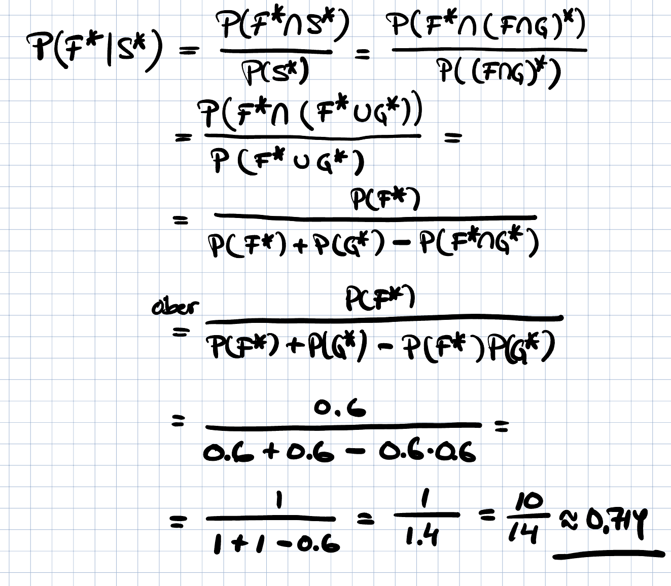
Betingad sannolikhet P(F*|S*)


Såhär löste jag uppgiften men rätt svar är A) utan lösning. Jag förstår inte hur de har räknat fram till A).
Trinity2 skrev:
Okej men de här härledningarna är inget jag känner igen tyvärr , hur kommer man ens dit ? Jag tänkte mig runt additionsformeln och komplementet av P . AI använde sig också samma sak och jag tänkte det kanske bara gör det krångligare. Det nämns ingenting om uttrycken i täljaren och nämnaren i boken så antar att man får bara lära sig dem då. Såhär kommer några frågor gällande dem:
1) hur blir (FsnittG)* till( F*snittG*)? Är det någon lag som säger detta?
2) jag undrar samma sak gällande nämnaren för vi går från P(FsnittG)*till P(F*UG*).
3) i tredje steget får du det till P(F*) och jag ser inte hur vi kommer dit.
4) i fjärde steget använder du additionslagen antar jag för unionen?
destiny99 skrev:Trinity2 skrev:
Okej men de här härledningarna är inget jag känner igen tyvärr , hur kommer man ens dit ? Jag tänkte mig runt additionsformeln och komplementet av P . AI använde sig också samma sak och jag tänkte det kanske bara gör det krångligare. Det nämns ingenting om uttrycken i täljaren och nämnaren i boken så antar att man får bara lära sig dem då. Såhär kommer några frågor gällande dem:
1) hur blir (FsnittG)* till( F*snittG*)? Är det någon lag som säger detta?
2) jag undrar samma sak gällande nämnaren för vi går från P(FsnittG)*till P(F*UG*).
3) i tredje steget får du det till P(F*) och jag ser inte hur vi kommer dit.
4) i fjärde steget använder du additionslagen antar jag för unionen?
1) De Morgan
https://sv.wikipedia.org/wiki/De_Morgans_lagar
2) De Morgan
3) Du tänker på
![]()
?
Tänk istället "A SNITT (A U B)"
Rita dessa i ett Venn-diagram och du inser att detta är samma sak som A.
4) Ja, exakt.
Tror även De Morgans lagar kan ses genom att studera ett Venn-diagram?
Hondel skrev:Tror även De Morgans lagar kan ses genom att studera ett Venn-diagram?
Aa okej men hur kan det se ut i en venndiagram?
Rita en rektangel. I rektangeln ritar du två cirklar som överlappar lite. Ena cirkeln är F, andra är G. F snitt G är överlappat mellan cirklarna, (FsnittG)* är alltså allting (hela rektangeln) förutom överlappet. Fundera sedan på vad F* snitt G* blir, det borde bli samma. Gör likadant för de andra grejerna du funderade på
Hondel skrev:Rita en rektangel. I rektangeln ritar du två cirklar som överlappar lite. Ena cirkeln är F, andra är G. F snitt G är överlappat mellan cirklarna, (FsnittG)* är alltså allting (hela rektangeln) förutom överlappet. Fundera sedan på vad F* snitt G* blir, det borde bli samma. Gör likadant för de andra grejerna du funderade på
Det där fick jag det till.F*ochG*är komplementet. Sen gjorde jag som du sa gällande (FsnittG)*. Sen om man tittar på venndiagram så inser man att det blir lika med detta.


Trinity2 skrev:
Aa ok då är jag med.
I det här fallet kan det vara bra att göra en tabell med två rader och två kolumner.



