0
svar
115
visningar
Betongbyggnad
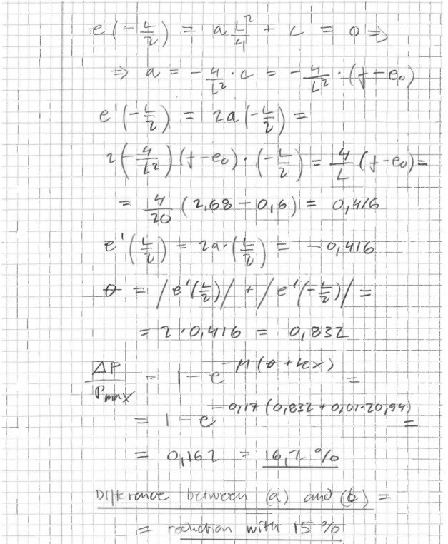
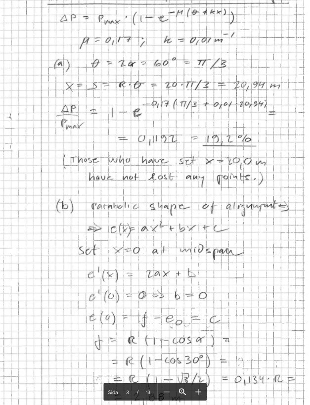
1. 2021.01.14. I del b) tar vi hänsyn till alignment och därmed för ett annorlunda theta-värde men i beräkningen använder vi samma x-värde som i del a). Borde vi inte i samband med det nya theta-värdet beräkna fram nytt x?Här förstår jag heller inte hur skillnaden mellan svaret i del a och del b i procent blev 15 med tanke på att i del a fick läraren svaret 19% respektive 16% --> 3% minskning. Mejlat läraren men jag kanske missuppfattat frågan, är det inte den skillnaden som sökes?

