Bevis
Jag ska visa att Sin A + Sin B + Sin C = 4 Cos A/ 2 x Cos B/2 x Cos C/2.
Ledtrådar som ges är:
cos (u+v)+ cos (u-v) = 2 cos u cos v
samt sin u + sin v = 2 sin u + v / 2 * cos u-v / 2
jag har skrivit hur jag tänkte men vet ej om jag gjort rätt? Finns det något enklare sätt?

Ska titta på detta, sitter på tågmed en mobil just nu, så det kan dröja. Men först,
skriv inte så här:
sin u + sin v = 2 sin u + v / 2 * cos u-v / 2
det måste till några parenteser:
sin u + sin v = 2 sin [(u + v) / 2] cos [(u–v)/2]
Marilyn skrev:Ska titta på detta, sitter på tågmed en mobil just nu, så det kan dröja. Men först,
skriv inte så här:
sin u + sin v = 2 sin u + v / 2 * cos u-v / 2
det måste till några parenteser:
sin u + sin v = 2 sin [(u + v) / 2] cos [(u–v)/2]
Det har du helt rätt i, det stod nämligen så i uppgiften.
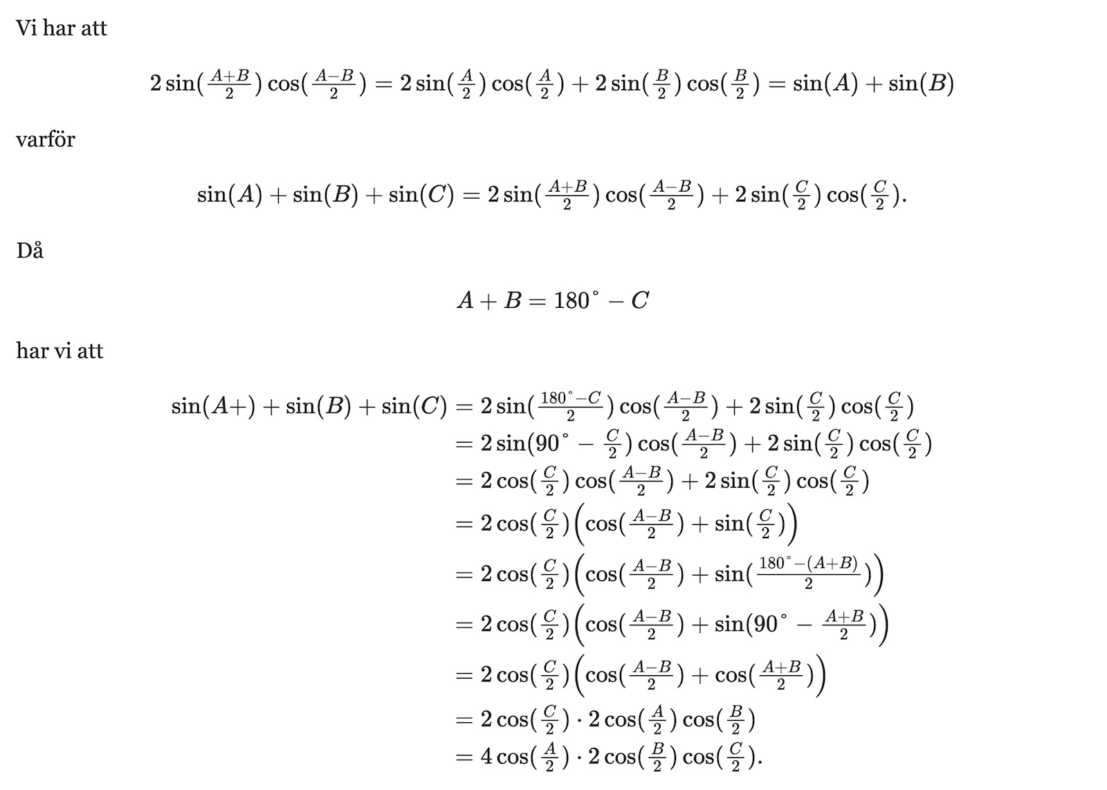
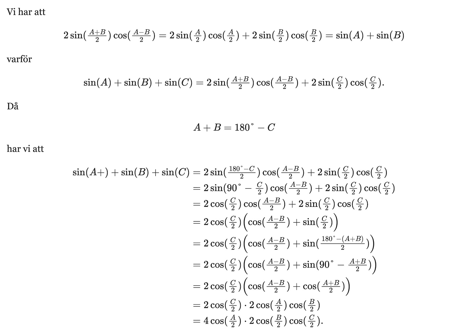
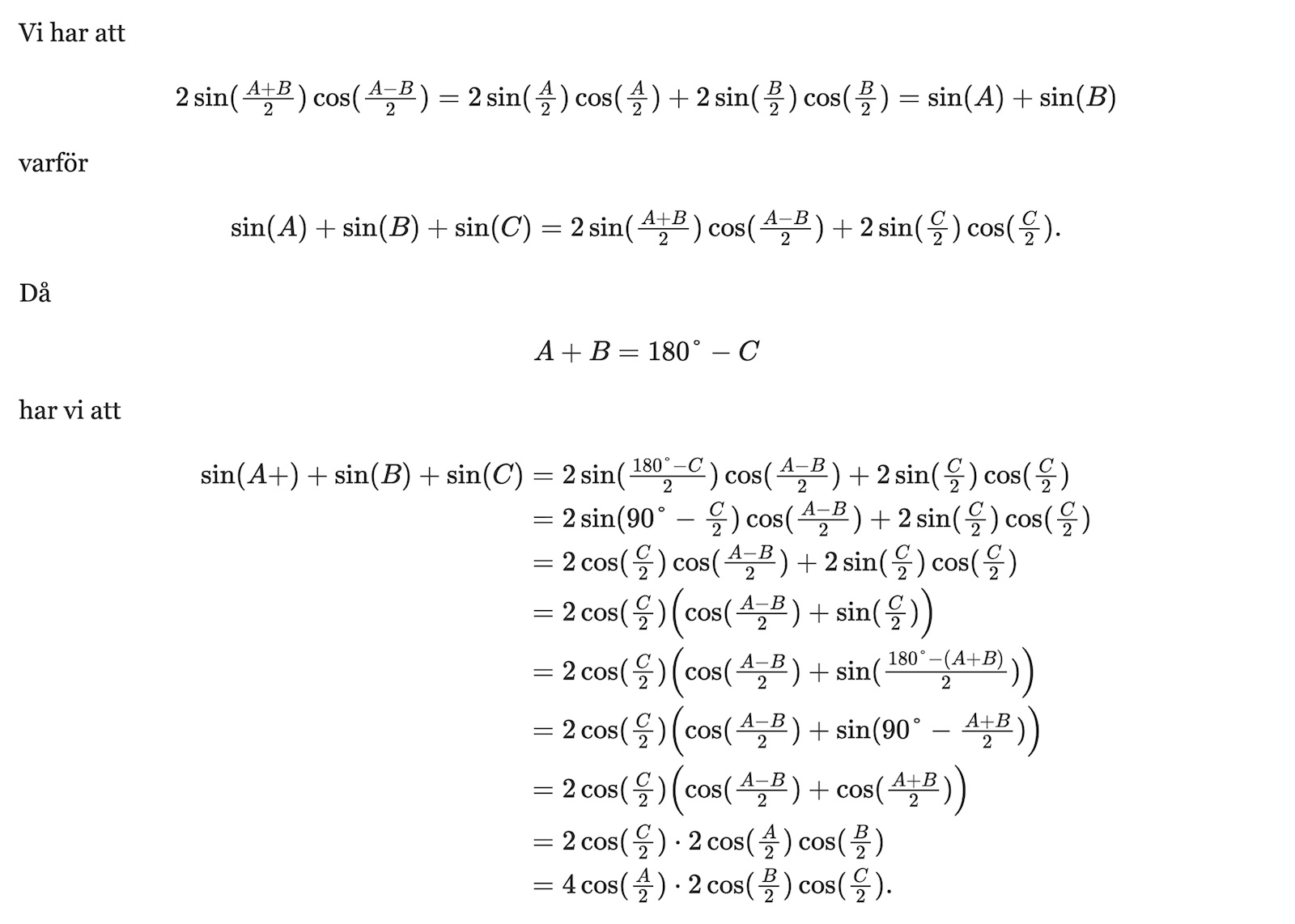
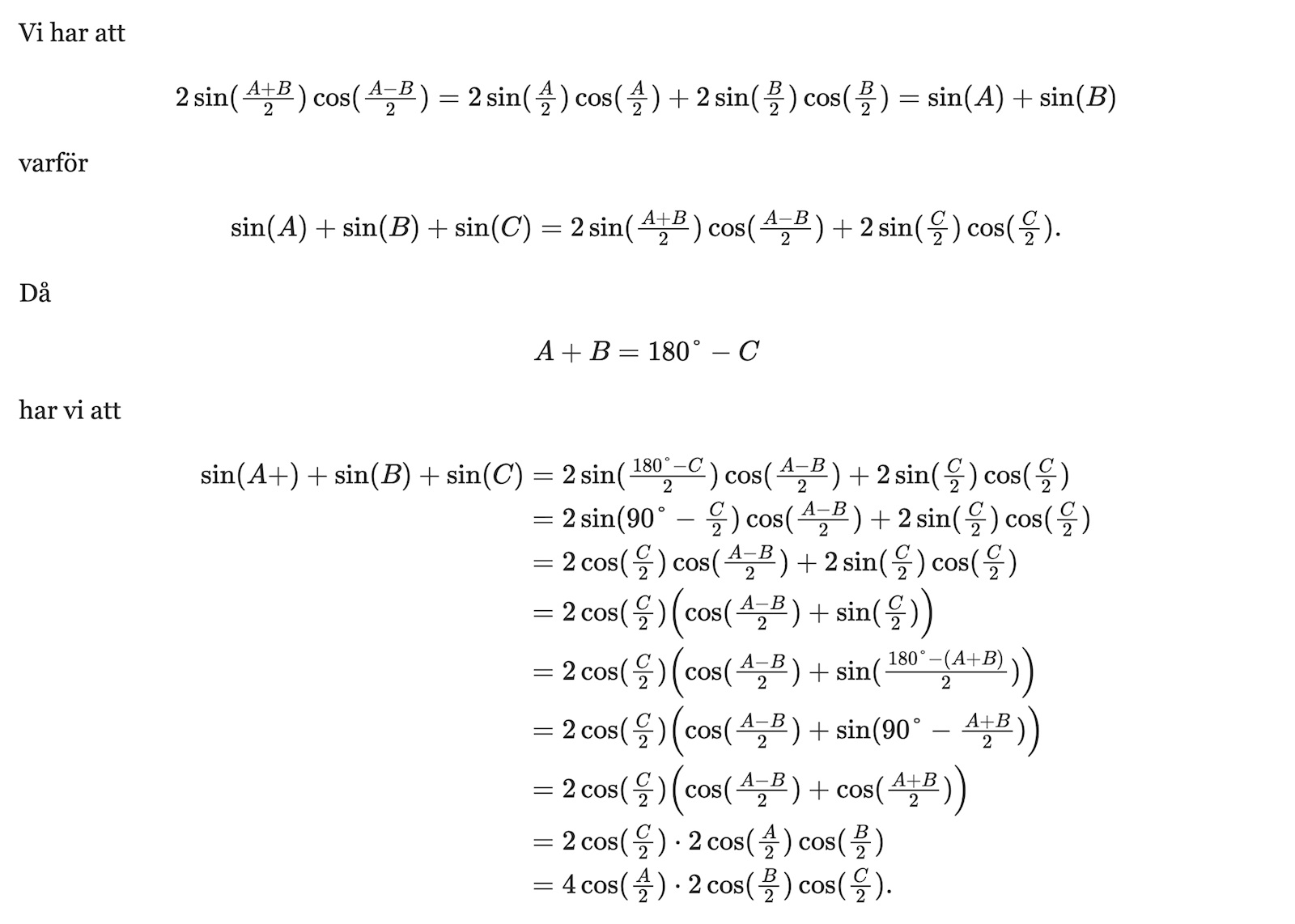
Trinity2 skrev:Kanske ngt i denna stil
Ser mycket bättre ut, tack!! Detta borde räcka som bevis?
ra0401 skrev:Trinity2 skrev:Kanske ngt i denna stil
Ser mycket bättre ut, tack!! Detta borde räcka som bevis?
Ja, men jag slarvade på sista raden. Stryk 2an, annars blir produkten 8…
Trinity2 skrev:ra0401 skrev:Trinity2 skrev:Kanske ngt i denna stil
Ser mycket bättre ut, tack!! Detta borde räcka som bevis?
Ja, men jag slarvade på sista raden. Stryk 2an, annars blir produkten 8…
alltså skriver jag den sista raden som:
= 4 cos (A/2) x Cos (B/2) Cos (C/2) ?
Trinity2 skrev:Ja
Tack!



