1
svar
227
visningar
Bevis




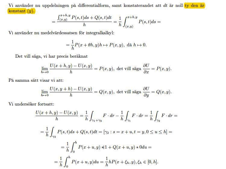
Jag förstår inte riktigt varför man tar med det sista "vi undersöker fortsatt" ..... Varför måste man ta med det?
bump?(S