Bevis
Någon som har lust att hjölpa mig på traven? Jag behöver påminnas lite om vilka symmetriformler som finns när det gäller bevisföring:

Börja med att skriva binomialsakerna som kvoter av fakulteter.
Laguna skrev:Börja med att skriva binomialsakerna som kvoter av fakulteter.
Hur menar du?
Hur definieras ?
Laguna skrev:Hur definieras ?
n! / (n-k)! * k!
Laguna skrev:Hur definieras ?
Jag tänker i andra termen, kan man göra om n-1 till n enligt pascals formel?
Det finns en massa trevliga omskrivningsformler för binomialkoefficienter, men jag skulle bara använda definitionen för de två termer du har.
Laguna skrev:Det finns en massa trevliga omskrivningsformler för binomialkoefficienter, men jag skulle bara använda definitionen för de två termer du har.
Jag fick svaret (n^2 + 3n + 2) / 2. Blir det rätt?
kungfupanda skrev:Laguna skrev:Det finns en massa trevliga omskrivningsformler för binomialkoefficienter, men jag skulle bara använda definitionen för de två termer du har.
Jag fick svaret (n^2 + 3n + 2) / 2. Blir det rätt?
"Visa att" betyder att du skall visa steg för steg hur du har gjort, inte bara slänga fram ett resultat. Och nej, diss svar stämmer itne med det su skall komma fram till. Eftersom du inte visat hur du har gjort har vi inte en chans att hitta var det har blivit fel.
Smaragdalena skrev:kungfupanda skrev:Laguna skrev:Det finns en massa trevliga omskrivningsformler för binomialkoefficienter, men jag skulle bara använda definitionen för de två termer du har.
Jag fick svaret (n^2 + 3n + 2) / 2. Blir det rätt?
"Visa att" betyder att du skall visa steg för steg hur du har gjort, inte bara slänga fram ett resultat. Och nej, diss svar stämmer itne med det su skall komma fram till. Eftersom du inte visat hur du har gjort har vi inte en chans att hitta var det har blivit fel.

Smaragdalena skrev:kungfupanda skrev:Laguna skrev:Det finns en massa trevliga omskrivningsformler för binomialkoefficienter, men jag skulle bara använda definitionen för de två termer du har.
Jag fick svaret (n^2 + 3n + 2) / 2. Blir det rätt?
"Visa att" betyder att du skall visa steg för steg hur du har gjort, inte bara slänga fram ett resultat. Och nej, diss svar stämmer itne med det su skall komma fram till. Eftersom du inte visat hur du har gjort har vi inte en chans att hitta var det har blivit fel.

Facit kanske har fel. Har du en bild på uppgiften?
Laguna skrev:Facit kanske har fel. Har du en bild på uppgiften?
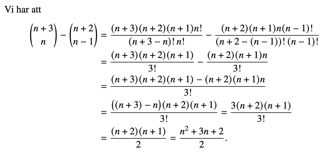
Nej, jag har ingen bild tyvärr, men ser min lösning korrekt ut?
Ja, den är rätt
Lite kortare om man väntar med att utveckla:

Trinity2 skrev:Ja, den är rätt
Lite kortare om man väntar med att utveckla:
Tack så jättemycket för ett så tydligt bevis!
