Bevis acos(v)+bsin(v)


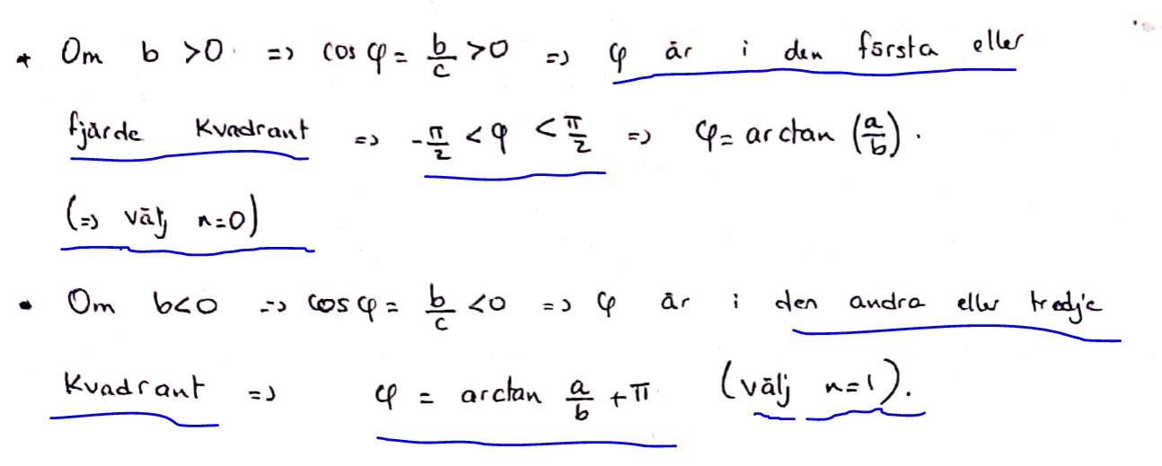
Varför är väljer vi n = 0 när vinkel ligger i den första eller fjärde kvadraten.
Och varför väljer vi n till 1 när ligger ligger i andra eller tredje kvadranten.
Därför vi vill ha ϕ i intervallet [-π/2,π/2].
Om ϕ ligger i 2a eller 3e kvadranten ligger ϕ ej i [-π/2,π/2]. Genom att addera π "förflyttas" ϕ till önskat intervall.
Kan du förklara med en enhetcirkeln?
Jag har tyvärr inget bra ritprogram. Oavsett var ϕ hamnar så är tan(ϕ)=tan(ϕ+π) alltså är ϕ och ϕ+π likvärdiga argument. Man har enats om att -π/2 < ϕ < π/2 (1a och 4e kvadranten) så om ϕ ej hamnar där "direkt" så adderar man π till ϕ. Att addera π till ϕ innebär att man vrider "visaren" i enhetscirkeln ett halvt varv, vilket innebär att alla värden som ligger i 2a och 3e kvadranten förflyttas över till 1a och 4e kvadranten. Kanske någon med ritprogram kan förklara bättre men lämplig bild.
Din text
b>0 => n=0
b<0 => n=1
är exakt detta.
Om ϕ befinner sig i 2a eller 3e kvadranten är b<0 och då adderar man π till ϕ varför n=1.
Om ϕ befinner sig i 1a eller 4e kvadranten är b>0 och man gör ingenting varför n=0 (man adderar 0 till ϕ).
Jag känner inte direkt igen din formel för hjälpvinkelsatsen. Den är inte den vanliga. Jag tror inte du skall fästa för stor uppmärksamhet på den då den inte är speciellt välformulerad. Se gärna någon bok för inledande studier vid högskola, t.ex. Månsson/Nordbeck Endimensionell Analys. Dessa böcker är bitvis svåra att förstå som gymnasist, men delar av dem är enkla och förklaringarna är ofta mycket bättre och mera stringenta än de försök som görs av författare till gymnasieskolan. Du skall inte läsa hela boken, bara "plocka russinen ur kakan" för bättre matematiskt vetande. Det finns mycket för gymnasister att hämta i dessa böcker!
Jag måste kunna den här till en tentamen i januari, så om någon kan rekommenderade någon bra undervisning video, eller någon som kan förklarar med en bild. Blir ja väldigt tacksam.
Se på
https://www.youtube.com/results?search_query=jonas+m%C3%A5nsson+hj%C3%A4lpvinkelmetoden+
Avsnitt 11 och 12 (är de samma) om de kan vara till hjälp.
Skall du lära dig att bevisa den eller tillämpa den?
Jag ska lära mig att bevisa den.
Marcus N skrev:Jag ska lära mig att bevisa den.
Ditt bevis är korrekt.