bevis för avstånd mellan plan och punkt
hej jag håller på att läsa i min mattebok om avstånd mellan punkt och plan. Jag förstår allt i deras förklaring up till det jag ringat in i rött. varför har dom valt att ha || över hela? jag trodde skalärprojektionen va a*b/|b| och inte |a*b/|b||
Skalärprojektionen kan vara negativ, men det kan inte ett avstånd. I detta fall eftersöker man enbart positiva avstånd, därav absolutbeloppet.
Notera att de säger "length of the projection" och inte "scalar projection of".
menar dom då dm skriver så: the lenght of the scalar projection ?
Ja, ungefär så.
Skalärprojektionen är ju redan ett tal, så det kanske är klokare att bara säga absolutbeloppet av skalärprojektionen, men jag fattar vad du menar.
men då man vill ha längden av vektor tar man ju |v| men det är väll inte samma sak som absolutbeloppet av vektorn. för |v| blir ju en skalär. så jag skulle tolka absolutbeloppet av vektor är sqrt(x^2),sqrt(y^2),sqrt(z^2)
Det yttersta absolutbeloppet avser inte absolutbeloppet av någon vektor - det är bara det gamla vanliga absolutbeloppet () som avses.
blir ju bara en skalär, och då måste absolutbeloppet utanpå detta betyda det gamla vanliga absolutbeloppet. Den enda egentliga effekten av detta är att man blir av med ett eventuellt minustecken.
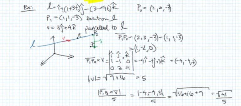
jag räknade ut ett exempel och då annvändes det inte som ett absolopp utan då blev en vektor en skalär. 
Nu hänger jag inte med. Exemplet du tar handlar om avståndet från en punkt till en linje. I ditt originalinlägg pratar man om avståndet från en punkt till ett plan.
oj det är sant jag blandade ihop det. never mind hehe :)
Hej!
Det är inte säkert att normalvektorn () är normerad. Däremot är vektorn normerad och det positiva talet
ger avståndet mellan punkten och planet; utan absolutbelopp i formeln hade du kunnat få ett negativt tal vilket är orimligt eftersom avstånd aldrig är negativa tal.