Bevis med vektorer


OP = OY + YP
OP = OX + XP
XP = YP
2OP = OX + OY + 2XP
OX = * u
OY = * v
Uttrycket blir dock inte rätt även när jag testar med enhetsvektorer som i uppgiften
Jag fastnade först för jag tyckte påståendet var orimligt. Men sedan insåg jag att u/|u| och v/|v| var lika långa. Den lilla fyrhörningen du ritat är alltså en romb (med alla sidor 1), och att diagonalen i en romb är en bisektris är lätt att se med ”vanlig” geometri (om man observerar att diagonalen delar romben i två likbenta och kongruenta trianglar).
Men så var det detta att man ska visa med vektorer. Jag har svårt att göra det utan att falla tillbaka på rombens egenskaper. Jag provade med skalärprodukt och cosinus etc, men det gav inget nytt.
Som Mogens säger har vi en parallellogram och för en sådan gäller parallellogramlagen (googla). Den ger OP uttryckt i sidornas längder.
Tomten skrev:Som Mogens säger har vi en parallellogram och för en sådan gäller parallellogramlagen (googla). Den ger OP uttryckt i sidornas längder.
Tomten, du menar ”|OP| Uttryckt I sidornas längder”, eller. Men längden av OP, hjälper den så långt? Eftersom strålkastaren riktas mot bisektrisen, så är det vinklar på scenen i denna show.
För många år sedan visade jag att medianerna i en triangel delar varandra i förhållandet 2 : 1. Jag har glömt hur jag gjorde, men jag tror det blev ganska olika bevis med och utan vektorer. Den här uppgiften verkar på gränsen till trivial i klassisk geometri, när man väl lokaliserat romben.
Av OA och OB kan man bilda en parallellogram, men den är kanske ett irrspår här. Bisektrisen är normalt inte diagonal (resultant) i parallellogrammen.
Ett mera vektorbaserat bevis skulle kunna se ut som följer.
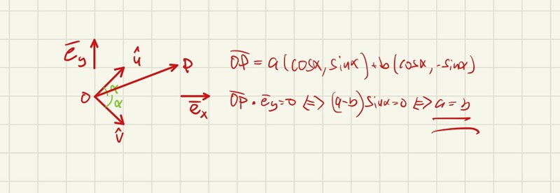
P ligger på bisektrisen om och endast om , vilket är ekvivalent med att .
Eftersom spänner upp planet (ej parallella) så finns det skalärer a och b sådana att
.
Detta ger
.
Vi kan se detta som ett linjärt ekvationssystem med a och b som obekanta.
Vi löser detta, tex med Cramers regel.
.
Vi ser att a = b om och och endast om
.
Således är a = b om och endast om P ligger på bisektrisen. QED
Stiligt, men det är väl ändå att skjuta mygg med kanon?
| u-hatt | = | v-hatt |
dvs fyrhörningen i Nichromes figur är en romb. Diagonalen är gemensam för de två likbenta trianglarna som alltså är kongruenta enligt andra k-fallet. Färdigt.
Cramers regel verkar väldigt fyrkantig här.
Detta är ingen kritik, bara att det vore roligt med en vektorbaserad tvårading.
Med lämpligt val av koordinatriktningar så blir allt enkelt.

Men…, har du inte förutsatt att det är samma vinkel uppåt som nedåt nu? (Det giftgröna alfat i figuren.)
Du utgår alltså från att OP är bisektris och visar att i så fall krävs det lika många u-hatt som v-hatt för att deras summa ska bli just OP. Eller? OK, beviset var ju ett ”om och endast om” så detta ska också göras.
”I can explain it in a much more complicated way, said The Red Queen, immensely proud.”
Jo, jag har medvetet valt riktning på ex och ey så att det är samma vinkel. Inget som förbjuder detta.
Ja, nu ser jag, du har inte placerat OP längs x-axeln i figuren.
Jag köper detta. Men kräver ångervecka.
Haha. Det har varit kul att se vilken lösning som facit tänkt sig. Ser ut som det är ett problem i linjär algebra, men en geometrisk lösning känns mera rättframt.
Jo, fast din senaste lösning är ju snygg (bortsett från risken för dolda fel).