11 svar
266 visningar
mon_12 behöver inte mer hjälp
mon_12 113 – Fd. Medlem
Postad: 24 maj 2020 15:10 Redigerad: 24 maj 2020 17:35

Bevis - största och minsta värde

Jag studerar beviset till satsen om största och minsta värde (s3-4, http://matematikblogg.se/flerdim/documents/kapk.pdf).

Men har fastnat här, särskild k.1. Använder de motsägelsebevis? Har svårt att förstå (K.1). 

 

PATENTERAMERA Online 7986
Postad: 24 maj 2020 16:24 Redigerad: 24 maj 2020 16:25

Om M är en icke-tom delmängd till , a = sup(M) och b < a, då finns det alltid ett tal m M sådant att b < m. För i annat fall skulle b vara en övre begränsning till M vilket motsäger att a är den minsta övre begränsningen till M.

Om n = 1, 2, 3... så gäller det att b = a - 1/n < a, så att det finns, för varje värde på n, ett värde mn i M sådant att 

a - 1/n < mn 

a - mn < 1/n.

Smaragdalena 78892 – Avstängd
Postad: 24 maj 2020 17:45

Tog bort dina skrikiga versaler från rubriken - det står i Pluggakutens regler (och i rutan där man skriver in sin rubrik, så det borde vara svårt att missa) att man skall undvika onödiga versaler i rubrikerna. /moderator

sisi.2121 77 – Fd. Medlem
Postad: 26 maj 2020 22:39 Redigerad: 26 maj 2020 22:39
PATENTERAMERA skrev:

Om M är en icke-tom delmängd till , a = sup(M) och b < a, då finns det alltid ett tal m M sådant att b < m. För i annat fall skulle b vara en övre begränsning till M vilket motsäger att a är den minsta övre begränsningen till M.

Om n = 1, 2, 3... så gäller det att b = a - 1/n < a, så att det finns, för varje värde på n, ett värde mn i M sådant att 

a - 1/n < mn 

a - mn < 1/n.

Jag har också nästan samma fråga som mon_12. Jag förstår inte riktigt. Använder du a istället för A? eller är det olika?

PATENTERAMERA Online 7986
Postad: 26 maj 2020 22:56

Det var tänkt som en lite allmännare betraktelse. Men som naturligtvis kan tillämpas direkt här genom att sätta 

M = {f(x,y): (x,y)D}.

mon_12 113 – Fd. Medlem
Postad: 27 maj 2020 02:18 Redigerad: 27 maj 2020 02:18
PATENTERAMERA skrev:

Det var tänkt som en lite allmännare betraktelse. Men som naturligtvis kan tillämpas direkt här genom att sätta 

M = {f(x,y): (x,y)D}.

Nu är jag förvirrad. Använder du "a" istället för "A" (på bilden står A)? :)

PATENTERAMERA Online 7986
Postad: 27 maj 2020 10:59

Ja, om du tillämpar på ditt problem så är a = A.

mon_12 113 – Fd. Medlem
Postad: 27 maj 2020 11:19
PATENTERAMERA skrev:

Ja, om du tillämpar på ditt problem så är a = A.

och M= D eller hur?

mon_12 113 – Fd. Medlem
Postad: 27 maj 2020 11:33 Redigerad: 27 maj 2020 11:33
PATENTERAMERA skrev:

Ja, om du tillämpar på ditt problem så är a = A.

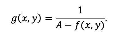
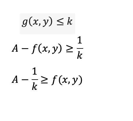
Vet inte om jag gjort rätt men kan man göra så? 

Anta att inga värde som tillhör D ärDå definierade jag funktionen 

Och gjorde så 

PATENTERAMERA Online 7986
Postad: 27 maj 2020 11:59
mon_12 skrev:
PATENTERAMERA skrev:

Ja, om du tillämpar på ditt problem så är a = A.

och M= D eller hur?

Nej, M = f(x, y): (x, y)D.

mon_12 113 – Fd. Medlem
Postad: 27 maj 2020 13:39
PATENTERAMERA skrev:
mon_12 skrev:
PATENTERAMERA skrev:

Ja, om du tillämpar på ditt problem så är a = A.

och M= D eller hur?

Nej, M = f(x, y): (x, y)D.

Ok, tack! Så vi har

M = {f(x, y): (x, y)∈D}

A = a

m_n= f(x_n,y_n)

PATENTERAMERA Online 7986
Postad: 27 maj 2020 15:01

Ja.

Svara
Close