2
svar
148
visningar
Bevis summering

"After having removed those observations" - vad är det jag ska ta bort?
Jag tolkar det som att de Yi vars Xk,i är 0 ska bort.
Hej!
Skriv ut den sista ekvationen.
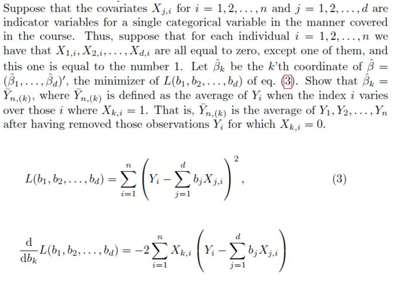
Indikatorvariablerna är ju sådana att för ett givet är alla utom för ett enda index som beror på .