3 svar
172 visningar
George H 156 – Fd. Medlem
Postad: 6 okt 2021 16:07

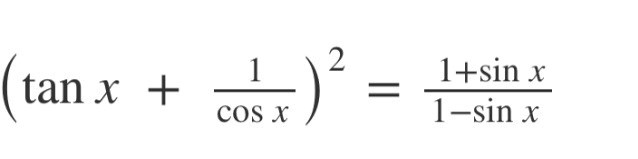
Bevisa att HL=VL

Hej allesammans! I den uppgiften fastnar jag! 

Jag börjar med att förenkla HL

(1+sin(x))/(1-sin(x))

Jag förlänger med konjugaten

(1+sin(x))(1-sin(x))/((1-sin(x))(1+sin(x))

Detta blir ju helt fel.

creamhog 286
Postad: 6 okt 2021 16:14

Bra idé att börja med att multiplicera med konjugaten, men du räknade lite fel. Du behöver multiplicera med samma sak på både täljaren och nämnaren. 


Tillägg: 6 okt 2021 16:15

Dvs du multiplicerade täljaren och nämnaren med var sin konjugat, men du vill faktiskt förlänga bråket med nämnarens konjugat. 

George H 156 – Fd. Medlem
Postad: 6 okt 2021 16:24

Fattar ej vad du menar. 

creamhog 286
Postad: 6 okt 2021 16:29

Ok, du har (1 + sinx) / (1 - sinx). Du sade att du vill förlänga med konjugaten.

Nämnarens konjugat är 1 + sinx. Om du förlänger bråket med det får du (1+sin(x))(1 + sin(x))/((1-sin(x))(1+sin(x)). Är det tydligare nu? :) 

Svara
Close