2
svar
94
visningar
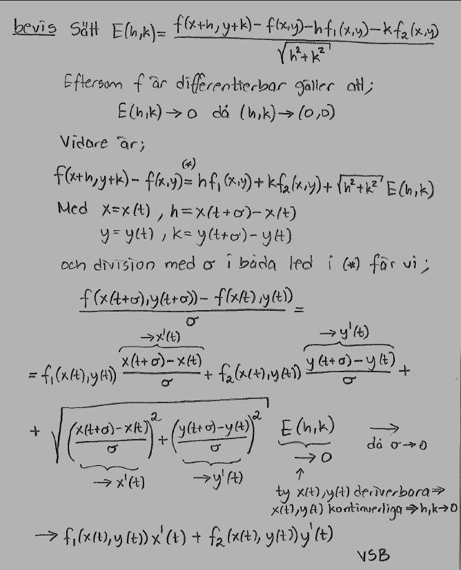
Bevisa kedjeregeln
Bild nedan markerat med rött. Förstår inte hur ena bråket är lika med samt andra ?
Vill bevisa kedjeregeln för då och .
Vi har att , samt att ,

De är inte lika med men går mot detta då sigma går mot noll. Använd derivatans definition.
.
PATENTERAMERA skrev:De är inte lika med men går mot detta då sigma går mot noll. Använd derivatans definition.
.
tusen tack