10
svar
503
visningar
OliviaH behöver inte mer hjälp
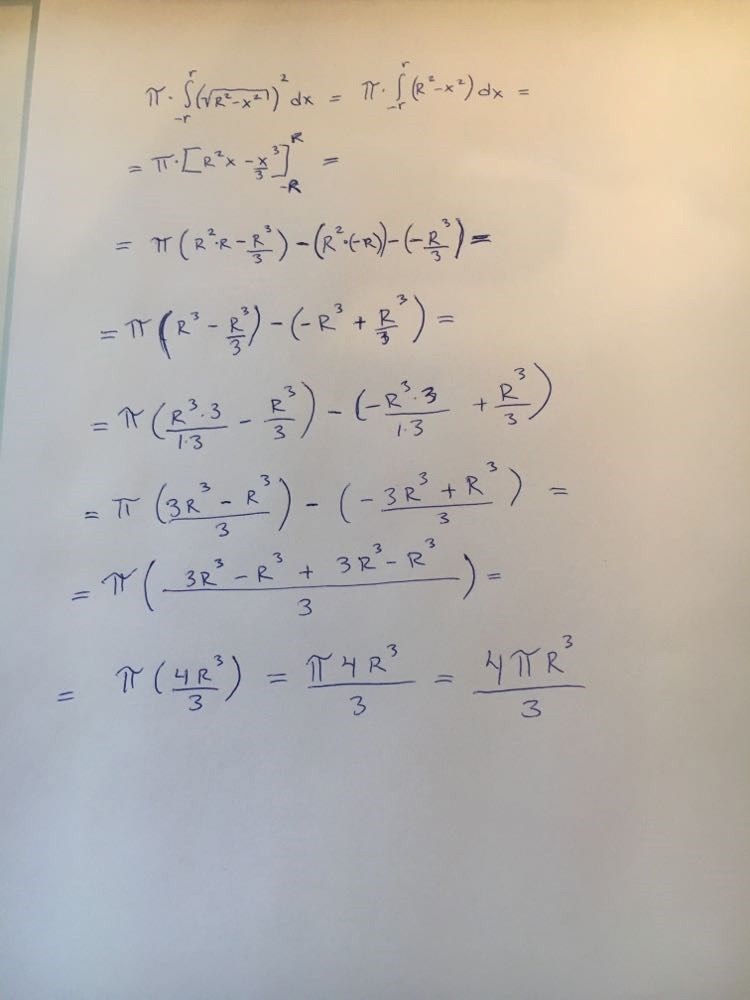
Bevisa klotets volym


Hur ska jag göra? Får inte fram en 4 och har kvar-x³
Vilka är dina integrationsgränser?
Tänk på att det du kallar r är konstant och du integrerar med avseende på x.
vet inte hur jag ska veta vad gränserna är? Kan det vara r eller 2? Tror man får svaret genom en halvcirkelbåge, men vet inte vad de vill få fram? en diameter?
Rita figur. Kurvan och x-axeln bildar ett slutet område. För vilka x-värden skär kurvan x-axeln? Det ger dig integrationsgränserna.
Hur ska jag komma fram till hur figuren ser ut?
Det är en halvcirkelbåge.
En halvbåge ger oss gränsvärden -r och r
du har fel primitiv funktion.
konstanttermen R2 vad blir en primitiv till den?
Ser denna lösning korrekt ut?
den ser rätt ut!