5
svar
115
visningar
Themather1234 behöver inte mer hjälp
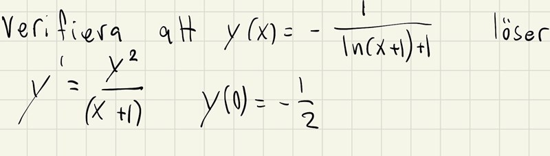
Bevisa lösning diffekvation
Hej! Jag försöker klura på hur jag kan bevisa denna typ av diffekv.
jag vet att jag kan verifiera det genom att derivera y(x). Men hur kan jag göra för att derivera en funktion av den här typen?

Uppfyller den givna funktionen att y(0) = -1/2?
Skrev fel i nämnaren på y(x)
det ska vara 1/(ln(x+1)+2)
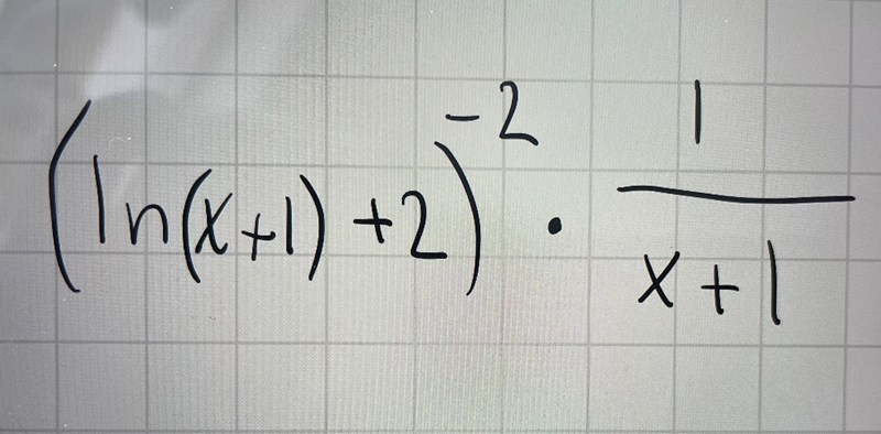
= .
Sedan kan du använda kedjeregeln. Sätt . y = -z-1. .
När jag kör kedjeregeln får jag den här derivatan. Inte rätt va?
Ser rätt ut, tycker jag.