Bevisa påstående för mängderna x,y,z
Hej. Jag sitter och försöker lösa ett problem om mängder men har fastnat. Uppgiften lyder:
X,Y,Z är delmängder i universalmängden u x u. Är det sant att X x (Y\Z) = (X x Y) \ (X x Z) för alla mängder X,Y,Z?
Jag lyckas bevisa påståendet för tre godtyckliga mängder men inte för alla mängder. Jag tänkte såhär:

Bilden är inte tillräckligt tydlig så att jag kan så att jag kan bedöma din bevisföring, men det var ju egentligen inte vad du frågade om utan du tror att det ska till ytterligare bevisning för att det ska gälla för alla mängder. Det behövs inte. Har du bevisat något för tre godtyckliga mängder X,Yoch Z så har du bevisat för alla sådana mängder. Det är så bevisföring går till i matematik.

Först några påpekanden;
Du ”lyckas bevisa påst … för tre godtyckliga mängder”, nej, det är just för tre godtyckliga mängder du ska bevisa påståendet, tre mängder vilka som helst. (Ser att Tomten just anmärkt på samma sak.)
Sedan var det inte ett påstående, utan en fråga, men det är en petimetrig anmärkning.
Mitt resultat är att VL inte är lika med HL.
Mängderna X, Y och Z är på formen {(p, q)}. Så X x Y har formen {(a, b), (c, d)} och tillhör inte universalmängden om jag förstår rätt.
Vi har alltså ett påstående:
VL = HL som har formen
{(a, b), (c, d)} = {(e, f) , (g, h)}
När jag har ritat mina Venndiagram landar jag i att (c, d) inte är lika med (g, h).
I vänster led är (c, d) = Y\Z, i höger led är (g, h) = Y snitt Z (snitt = skärning).
Jag fick en gång lära mig att Venndiagrammen inte kan användas för att bevisa att något är sant. Men de borde duga för att visa att något är falskt.
Du får lusläsa, jag kan ha gjort fel någonstans. Det luriga var, tyckte jag, att om man ska visa att
AxB = CxD
så måste man visa A = C och B = D,
(I figuren har jag streckat områden som ska bort, vita områden ska vara kvar.)
Det ska nog vara att X, Y och Z är delmängder av universalmängden u, och därmed t.ex. X x Y är en delmängd av u x u, osv.
Det kunde ha hjälpt med en bild av uppgiften. u ser ut som ett element (i mängden U?).
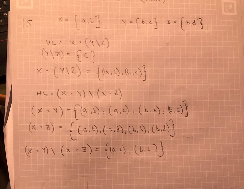
Hej. Tack för all input. Här kommer en bild på uppgiften och även en bild på en uppgift innan (9) som förklarade vad ett ordnat par betyder. Det står däremot i facit att likheten hällar för alla mängder. Jag förstod däremot inte riktigt hur man kunde komma fram till de Venndiagram du kom fram till Mogens.

Då påstår jag att det står fel i uppgiften.
- Jag delar Lagunas notering. Skälet är att påståendet ska vara sant eller falskt oberoende av vilka slags element U och därmed X, Y och Z består av. Delar också Mogens obehagskänsla när små bokstäver används för mängder. De små bokstäverna behöver vi för elementen.
Tack Chef05,
Jag har just testat med några mängder jag valde på måfå (inte godtyckliga!), och inser att mina Vennresonemang hade vissa svagheter. Det var inte så lätt att få en mental bild av vad som händer när man tar (XxY) \ (XxZ)
Så om du inte förstod dem är du att gratulera.
Okej! Men är Venndiagram rätt väg att gå för denna uppgift. Jag har lite svårt för hur man ska kunna visualisera multiplikation i Venndiagramsform. Och om detta inte är rätt metod, hur ska man tänka istället?
Jag vet faktiskt inte. Jag tycker uppgiften är så tetigt formulerad, jag känner osäkerhet kring vad som menas.
Eftersom ingen tycks ha löst problemet utan Wenndiagram gör jag här ett försök. Ber om överseende att mitt maskineri inte förfogar över mängdsymboler utan jag måste skriva klartext.
Låt U vara ett univers och X, Y, Z godtyckliga delmängder i detta.
Påst. Då gäller att X x (U\Z) = (X x Y)\(X x Z)
Bevis: Tag (x,v) tillhörande VL. Då tillhör x mängden X och v tillhör Y\Z <==>v tillhör Y men inte Z <==> (x,v) tillhör (XxY)men inte (X x Z) \ <==> (x,v) tillhör (X x Y)\(X x Z) Bev.
Snyggt! Redigera U till Y i påståendet så blir det mvg
Tack så mycket tomten.
Hej! Kan du svara i meddelandet @chef05?