1
svar
155
visningar
Marcus N behöver inte mer hjälp
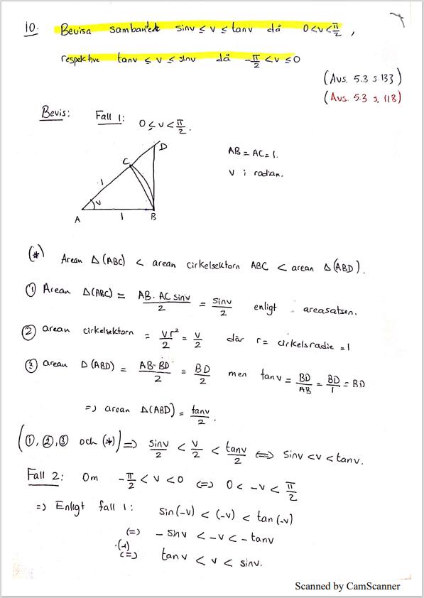
Bevisa sambandet
Kan någon rekommenderar något bra undervisningsvideo som kan hjälpa mig förstå och tillämpa följande definition:

Vad är det som ska bevisas? Om man accepterar relationen mellan de trigonometriska funktionerna och längderna så finns det inte så mycket att bevisa. I enhetscirkeln har vi att

Och sedan är det visuellt uppenbart att
sin(v) < korda(v) < v < tan(v)
eftersom de är geometriska sträckor som är av olika längd.
Är det faktumet att en viss sträcka är en viss trigonometrisk funktion du behöver bevisa eller vad är målet? (i fallet med sinus så är det en definition)