1
svar
112
visningar
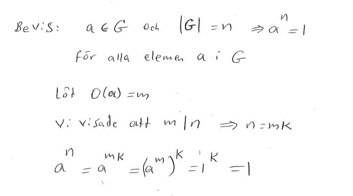
Bevisa satsen (diskret matematik)
Hej!
Jag behöver hjälp med att bevisa denna sats. Jag har börjat lite, men är så osäker.


Eller har jag uppfattat satsen fel?
Du har bevisat om men du har inte visat endast om.