5
svar
184
visningar
solaris behöver inte mer hjälp
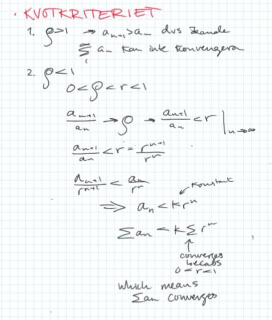
Bevisa satsen kvotkriteriet
Hej jag kollar på ett klipp på youtube där dom förklarar beviset för kvotkriteriet men det är i ett steg som jag inte riktigt hänger med. Det är det steget dom går från till att Kan ni hjälpa mig förstå. Detta var videon jag kollade på: https://www.youtube.com/watch?v=rUis1mSzwyA

Olikheten gäller för alla , även för , vilket medför att konstanten kan väljas som
om n = 1 bör inte olikheten vara
Om jag tolkar det rätt så menade Albiki att sätta in .
jo men om n är 0 varför är n:et kvar i vänsterledet på olikheten? bör det då inte vara
Om för så följer det att för alla , eftersom
.
Här betecknar