2
svar
263
visningar
Vats behöver inte mer hjälp
Bevisa trigonometrisk likhet. Kört fast.
Hej, igen.
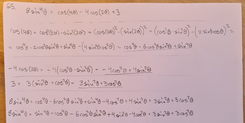
Försöker bevisa denna likhet:

Men jag har kört fast. Har kommit så här långt:

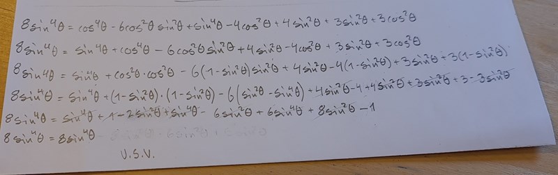
Min tanke var att förlänga det stora uttrycket så att man kan få termer med 4 som exponent och på så sätt skriva om uttrycket tills man får . Men jag ser inte hur det skulle kunna ske.
Uppgiften kommer från denna pdf i kapitel 3.2 Exercises
Trigonometriska ettan kan utnyttjas för att omvandla alla cosinuskvadrater till sinuskvadrater.
Observera att cos4(v)= cos2(v)*cos2(v).
Tack för hjälpen. Löste det nu.
