1
svar
135
visningar
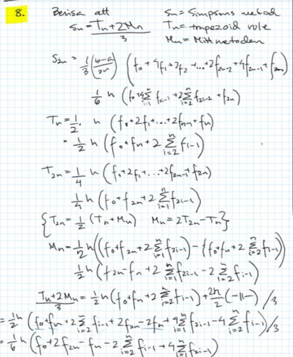
Bevisa uträkning med simpsons metod, trapezoid rule och mittmetoden
hej jag har en uppgift där jag skall bevisa att följande stämmer. jag börjar med att beräkna s2n och till sist beräknar högerledet. men får inte att det är samma. vad gör jag för fel?
Jag räknade igenom det och det är rakt fram.
Jag skulle gissa på att du får fel på n vs. 2n.
Rita en tydlig bild för 2n punkter/intervall och se att T-metoden endast berör jämna x_i och M-metoden endast berör udda x_i.
Med (T+2M)/3 får du en 'sammanslagning' av de udda och jämna x_i vilket leder fram till S-metoden.