Bilda industridiamanter, Med hur stor kraft måste klotet då pressas samman för att bilda en diamant?
Jag undrar om jag ska räkna arean på hela klotet eller på halva klotet och blir därför osäker på mitt svar. Någon som vet hur jag ska tänka?

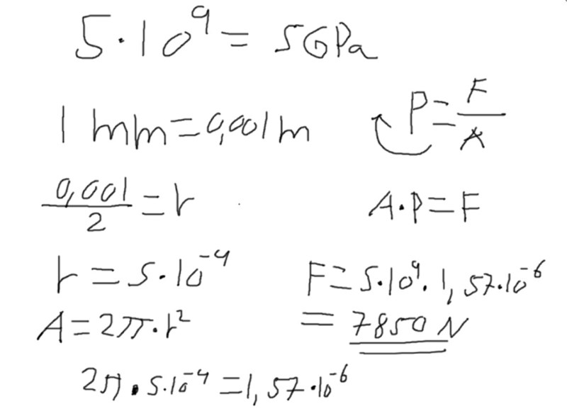
Såhär tänkte jag från början kan det stämma? : 
Rita en figur på hur du tror att pressmekanismen ser ut om arean är halva klotet. Ser du något sätt som det praktiskt skulle fungera om arean skulle vara hela klotets mantelarea?
Jag håller med. Uppgiften är otydlig. Varför skulle formen vara just ett halvt klot? Varför inte en fjärdedels klot? Eller någonting annat?
Fanns det någon bild till uppgiften?
JohanF skrev:Rita en figur på hur du tror att pressmekanismen ser ut om arean är halva klotet. Ser du något sätt som det praktiskt skulle fungera om arean skulle vara hela klotets mantelarea?
Jag håller med. Uppgiften är otydlig. Varför skulle formen vara just ett halvt klot? Varför inte en fjärdedels klot? Eller någonting annat?
Fanns det någon bild till uppgiften?
Finns tyvärr ingen bild till uppgiften. Jag skickade in till min lärare och hoppas på en rimlig förklaring tack ändå.
Jag gissar på att det är ett halvklot som du säger, eftersom det är omöjligt (?) att mekaniskt bygga en bra mekanism som trycker omkring ett helt klot.
Men jag tycker att den som skriver "klotform" i uppgiften borde ha skrivit "halvklotform" istället, eftersom det inte är ett klot. Eller ännu hellre ha bifogat en figur eller foto på pressmaskinen.
JohanF skrev:Jag gissar på att det är ett halvklot som du säger, eftersom det är omöjligt (?) att mekaniskt bygga en bra mekanism som trycker omkring ett helt klot.
Men jag tycker att den som skriver "klotform" i uppgiften borde ha skrivit "halvklotform" istället, eftersom det inte är ett klot. Eller ännu hellre ha bifogat en figur eller foto på pressmaskinen.
Håller med att de borde varit tydligare speciellt när det är en E-uppgift. Men kanske får en förklaring av min lärare som är logisk.
vad menar ni med halvklot? det står väl bara i uppgiften att det är ett klot?
och om det är halvklot räknar man väl bara ut arean för hela och delar sedan med två och multiplicerar med trycket?
Eller har jag missfattat?
naturnatur1 skrev:vad menar ni med halvklot? det står väl bara i uppgiften att det är ett klot?
och om det är halvklot räknar man väl bara ut arean för hela och delar sedan med två och multiplicerar med trycket?
Eller har jag missfattat?
Du måste förstå att jag är ett lika stort frågetecken som du, huruvida det ska vara mantelarea av helt eller halvt klot. Uppgiftförfattaren tycks veta att det ska vara ett helt klot, men jag är tveksam huruvida uppgiftförfattaren någonsin har sett en sådan pressmekanism.
Fråga din lärare vad den tycker.
Här (under Presses) är i alla fall en klotformad press, även om diamanten i mitten ser ut att vara en oktaeder: https://www.gemsociety.org/article/lab-grown-diamond-production-methods/
Laguna skrev:Här (under Presses) är i alla fall en klotformad press, även om diamanten i mitten ser ut att vara en oktaeder: https://www.gemsociety.org/article/lab-grown-diamond-production-methods/
Sedär! Jag kollade lite på wikipedia hur de kunde se ut. Då är det möjligt ändå...