Bildning av Laktos och sackaros
Hej! Jag undrar lite kring kraven för att laktos och sackaros ska bildas! Finns det någon regel kring om till exempel beta eller alpha glukos ska användas vid laktos etc? Har för mig att det var någon sådan regel, fast min bok går inte in i alpha och beta former :(
Ja det behöver vara specifika former av åtminstone den ena monosackariden, som sedan förbinds med en annan genom en glykosidbindning.
När t.ex. bindningen mellan glukos och galaktos skapas, så att laktos bildas, sker det i ett enzym som kallas laktossyntas. För glukosenheten spelar det ingen roll om kol 1 är i alfa- eller beta-, d.v.s. om det är alfa/beta-glukos, för bindningen som bildas i enzymet från glukos är ifrån kol 4 (som inte alls påverkar alfa/beta).
Men med glukoset kommer galaktos fås att reager i enzymet, och detta galaktos som används av enzymet är bundet till UDP (uridindifosfat, en nukleotid) med en alfa-bindning från galaktos till UDP. Enzymet kan endast använda en variant av UDP-galaktos, och därför kommer enzymet endast kunna skapa en variant av bindning mellan glukos och galaktos. Det blir beta 1-4 (läses ut som kol 1 i galaktos är i beta, och bindningen är till kol 4 i glukos).
Det är med andra ord enzymerna som bildar disackariderna laktos och sackaros, som avgör vilken bindning som bildas mellan monosackariderna, och det beror i sin tur på vilka monosackarider som används.
I fallet med laktossytnaset, så bildas det ena substratet UDP-galaktos, av ett annat enzym - som endast skapar en typ av bindning mellan galaktosdelen och UDP. På detta viset kan cellens enzymer skapa specifika varianter av kolhydrater som bl.a. laktos och sackaros.
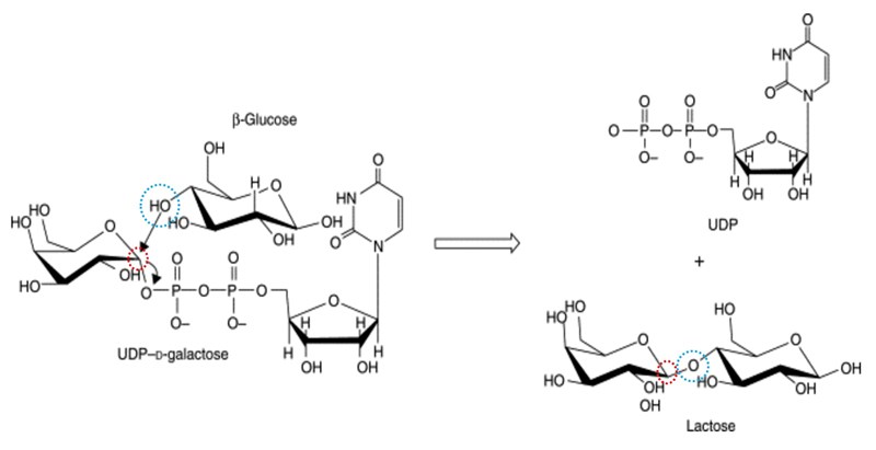
Bilden nedan visar schematiskt hur reaktionen i laktossyntas sker, där en hydroxigrupp på glukos (blå cirkeln till vänster) fås att skapa en ny glykosidbindning till kol 1 i galaktos (röd cirkel till vänster), samtidigt som UDP delen lämnar. Efter reaktionen är hydroxigruppen en del av bindningen mellan monosackariderna (cirklarna till höger efter reaktionen visar var hydroxigruppen och kolet finns efter att bindningen bildats).
Som du kanske ser är kol 1 i glukosdelen, längst till höger i bilden, inte bunden till något - därför kan glukosringen öppnas, och när ringen återskapas kan det bli antingen alfa eller beta i just den positionen. För galaktos ändras det dock inte, eftersom glykosidbindningen mellan galaktos och glukos förhindrar att den ringen öppnas.
mag1 skrev:Ja det behöver vara specifika former av åtminstone den ena monosackariden, som sedan förbinds med en annan genom en glykosidbindning.
När t.ex. bindningen mellan glukos och galaktos skapas, så att laktos bildas, sker det i ett enzym som kallas laktossyntas. För glukosenheten spelar det ingen roll om kol 1 är i alfa- eller beta-, d.v.s. om det är alfa/beta-glukos, för bindningen som bildas i enzymet från glukos är ifrån kol 4 (som inte alls påverkar alfa/beta).
Men med glukoset kommer galaktos fås att reager i enzymet, och detta galaktos som används av enzymet är bundet till UDP (uridindifosfat, en nukleotid) med en alfa-bindning från galaktos till UDP. Enzymet kan endast använda en variant av UDP-galaktos, och därför kommer enzymet endast kunna skapa en variant av bindning mellan glukos och galaktos. Det blir beta 1-4 (läses ut som kol 1 i galaktos är i beta, och bindningen är till kol 4 i glukos).
Det är med andra ord enzymerna som bildar disackariderna laktos och sackaros, som avgör vilken bindning som bildas mellan monosackariderna, och det beror i sin tur på vilka monosackarider som används.
I fallet med laktossytnaset, så bildas det ena substratet UDP-galaktos, av ett annat enzym - som endast skapar en typ av bindning mellan galaktosdelen och UDP. På detta viset kan cellens enzymer skapa specifika varianter av kolhydrater som bl.a. laktos och sackaros.
Bilden nedan visar schematiskt hur reaktionen i laktossyntas sker, där en hydroxigrupp på glukos (blå cirkeln till vänster) fås att skapa en ny glykosidbindning till kol 1 i galaktos (röd cirkel till vänster), samtidigt som UDP delen lämnar. Efter reaktionen är hydroxigruppen en del av bindningen mellan monosackariderna (cirklarna till höger efter reaktionen visar var hydroxigruppen och kolet finns efter att bindningen bildats).
Som du kanske ser är kol 1 i glukosdelen, längst till höger i bilden, inte bunden till något - därför kan glukosringen öppnas, och när ringen återskapas kan det bli antingen alfa eller beta i just den positionen. För galaktos ändras det dock inte, eftersom glykosidbindningen mellan galaktos och glukos förhindrar att den ringen öppnas.
Hej! Tack så mycket för svaret! Finns det några liknande restriktioner för sackaros att vissa typer av glukos och fruktos måste användas?
Ja det är samma restriktioner som finns generellt.
Exemplet med laktossyntas beskriver hur enklare kolhydrater (som monsackariderna glukos/galaktos) förenas för att bilda di- och polysackarider. Så i ditt andra exempel med sackaros, används ett liknande enzym för att skapa glykosidbindningen mellan glukos och fruktos.
Det blir en specifik typ av bindning mellan monosackariderna, just därför att det ena substratet som används behöver göras mer benäget att reagera. För skapandet av glykosidbindningen är inget som sker spontant i levande celler, aktiveringsenergin är för hög. Och för att ett enzym skall kunna användas för att sänka aktiveringsenergin, behöver det ena substratet först bindas till en dinukleotid. När t.ex. galaktos är bundet till UDP (som UDP-galaktos), kan UDP fungera som en bra (!) lämnande grupp. Det påminner mycket om när ATP spjälkas till ADP och en fri fosfatgrupp - det som sker när "ATP används för att driva andra kemiska reaktioner".
UDP-galaktos bildas av ett annat enzym, som endast bildar denna variant av UDP-galaktos, och laktossyntaset har endast denna variant av UDP-galaktos att använda - därför blir det endast en konformation av glykosidbindningen mellan galaktos- och glukosdelarna i laktos, nämligen beta.
mag1 skrev:Ja det är samma restriktioner som finns generellt.
Exemplet med laktossyntas beskriver hur enklare kolhydrater (som monsackariderna glukos/galaktos) förenas för att bilda di- och polysackarider. Så i ditt andra exempel med sackaros, används ett liknande enzym för att skapa glykosidbindningen mellan glukos och fruktos.
Det blir en specifik typ av bindning mellan monosackariderna, just därför att det ena substratet som används behöver göras mer benäget att reagera. För skapandet av glykosidbindningen är inget som sker spontant i levande celler, aktiveringsenergin är för hög. Och för att ett enzym skall kunna användas för att sänka aktiveringsenergin, behöver det ena substratet först bindas till en dinukleotid. När t.ex. galaktos är bundet till UDP (som UDP-galaktos), kan UDP fungera som en bra (!) lämnande grupp. Det påminner mycket om när ATP spjälkas till ADP och en fri fosfatgrupp - det som sker när "ATP används för att driva andra kemiska reaktioner".
UDP-galaktos bildas av ett annat enzym, som endast bildar denna variant av UDP-galaktos, och laktossyntaset har endast denna variant av UDP-galaktos att använda - därför blir det endast en konformation av glykosidbindningen mellan galaktos- och glukosdelarna i laktos, nämligen beta.
Alright! Så får sackaros måste då C-1 av alfa glukos binda till C-2 av av fruktos, och för laktos måste då C-1 av alpha galaktos bind till C-4 av glukos, och detta beror då lite kort sagt på att enzymerna har särskilda förutsättningar de behöver för att kunna katalysera?
Alright! Så får sackaros måste då C-1 av alfa glukos binda till C-2 av av fruktos
Ja i glukos är C-1 i alfakonfigurationen, medans fruktos är i beta, d.v.s. C-2 i fruktos är i beta.
och för laktos måste då C-1 av alpha galaktos bind till C-4 av glukos, och detta beror då lite kort sagt på att enzymerna har särskilda förutsättningar de behöver för att kunna katalysera?
Ja så kan du beskriva det. Dessutom bildas det inte en UPD-bunden form av glukos, där C1 är i beta (i alla fall inte i detta sammanhang där laktos bildas).
mag1 skrev:Alright! Så får sackaros måste då C-1 av alfa glukos binda till C-2 av av fruktos
Ja i glukos är C-1 i alfakonfigurationen, medans fruktos är i beta, d.v.s. C-2 i fruktos är i beta.
och för laktos måste då C-1 av alpha galaktos bind till C-4 av glukos, och detta beror då lite kort sagt på att enzymerna har särskilda förutsättningar de behöver för att kunna katalysera?
Ja så kan du beskriva det. Dessutom bildas det inte en UPD-bunden form av glukos, där C1 är i beta (i alla fall inte i detta sammanhang där laktos bildas).
hejsan! Har lite av en följdfråga! På sättet man beskriver bindningar som görs för att bilda disackarider, till exempel sackaros där det då blir α(1-2), behöver man inte på nått sätt visa om den andra monosackariden är i alpha eller beta form? Fruktosen här måste ju vara i beta, men det ser jag inte någonstans att man visar?
Pankakan skrev: hejsan! Har lite av en följdfråga! På sättet man beskriver bindningar som görs för att bilda disackarider, till exempel sackaros där det då blir α(1-2), behöver man inte på nått sätt visa om den andra monosackariden är i alpha eller beta form? Fruktosen här måste ju vara i beta, men det ser jag inte någonstans att man visar
Sackaros är ett så pass vanligt ämne att man lär sig det som ett exempel på en viktig kolhydrat. Sackarosen är av flera en kolhydrater som kan bildas från glukos och fruktos. Kombineras dessa monosackarider på andra sätt (än det som finns i sackaros) så blir det en annan disackarid, med sitt egna namn.
Oftast används endast sackaros som namn för ämnet. Kolhydrater kan namnges på flera sätt, frånsett IUPACs namngivning. Vissa av dessa sätt anger alfa/beta konfigurationerna, t.ex. kan sackaros namnges som β-D-fruktofuranosyl-α-D-glukopyranosid eller Glukos(alpha1->2beta)fruktos.
Kolhydrater har en egen tradition av namngivning, där "kolhydratnamnen" finns parallellt med IUPAC namnen. Och sackaros är ett mycket mer användbart och enklare namn än IUPACs namn för ämnet.
mag1 skrev:Pankakan skrev: hejsan! Har lite av en följdfråga! På sättet man beskriver bindningar som görs för att bilda disackarider, till exempel sackaros där det då blir α(1-2), behöver man inte på nått sätt visa om den andra monosackariden är i alpha eller beta form? Fruktosen här måste ju vara i beta, men det ser jag inte någonstans att man visar
Sackaros är ett så pass vanligt ämne att man lär sig det som ett exempel på en viktig kolhydrat. Sackarosen är av flera en kolhydrater som kan bildas från glukos och fruktos. Kombineras dessa monosackarider på andra sätt (än det som finns i sackaros) så blir det en annan disackarid, med sitt egna namn.
Oftast används endast sackaros som namn för ämnet. Kolhydrater kan namnges på flera sätt, frånsett IUPACs namngivning. Vissa av dessa sätt anger alfa/beta konfigurationerna, t.ex. kan sackaros namnges som β-D-fruktofuranosyl-α-D-glukopyranosid eller Glukos(alpha1->2beta)fruktos.
Kolhydrater har en egen tradition av namngivning, där "kolhydratnamnen" finns parallellt med IUPAC namnen. Och sackaros är ett mycket mer användbart och enklare namn än IUPACs namn för ämnet.
Blir det alltså att man skulle kunna skriva α(1-2)β för att visa mer exakt till vilken typ av fruktos som glukosen binder sig till?
Ja förutsatt att man skriver glukos före, och fruktos efter (för byter du ordning på monosackariderna med fruktos först, blir det en annan disackarid).
Men i det sammanhanget antas att det är endast en specifik form av monosackariderna. Glukos finns t.ex. i antingen alfa-, öppen, eller beta. Och vissa organismer kan syntetisera D-glukos så antagandet är att det är D-glukos, men L-glukos är en annan variant av glukos som finns (men behöver syntetiseras i labb). För fruktos finns det ännu fler epimerer/varianter.
mag1 skrev:Ja förutsatt att man skriver glukos före, och fruktos efter (för byter du ordning på monosackariderna med fruktos först, blir det en annan disackarid).
Men i det sammanhanget antas att det är endast en specifik form av monosackariderna. Glukos finns t.ex. i antingen alfa-, öppen, eller beta. Och vissa organismer kan syntetisera D-glukos så antagandet är att det är D-glukos, men L-glukos är en annan variant av glukos som finns (men behöver syntetiseras i labb). För fruktos finns det ännu fler epimerer/varianter.
Oj så det spelar också roll om det är glukos som binder till fruktos eller om det är fruktos som binder till glukos?
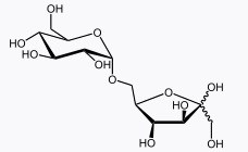
Typ, det är samma två monosackarider, men hur de binder till varandra är det som avgör vilken disackarid det blir. De kan teoretiskt och "kemiskt" bindas ihop med bindningar mellan alla kombinationer av hydroxigrupperna, men i saker som lever finns endast ett fåtal av alla dessa kombinationer, t.ex. isomaltulose (inte samma som isomaltos) som i bilden nedan där monosackariderna sitter ihop med en bindning mellan alfaglukosets kol 1 och fruktosens kol 6.

Tillägg: 3 mar 2025 13:11
Jämfört med sackaros, där alfaglukos kol1 binder till kol 2 i betafruktos:
