Binärt till oktal och hexadecimal
För att skriva om ett binärt tal, t.ex. 1111011, i basen åtta kan vi dela upp det binära talet i grupper av tre siffror eftersom 23=8:
[001][111][011] , och på det viset kan vi lätt få fram talet i basen åtta:
[001][111][011]=[1][7][3] , alltså
Samma sak kan vi utföra för talet i bas 16 och då delar vi upp det binära talet i grupper av fyra siffror i och med att 24=16:
[0111][1011]=[7][B]=7B , dvs.
Jag har inte än förstått varför 3 grupper för 8 och 4 grupper för 16 eller 5 grupper för 32. Om man vill visa det genrellt, hur ska det se ut?
Precis som du skriver, att , ,
Hur många siffror ska du gruppera för att skriva ett binärt tal i bas 4?
Hur många siffror ska du gruppera om du vill skriva ett ternärt (bas 3) tal med bas 27?
Yngve skrev:Precis som du skriver, att , ,
Hur många siffror ska du gruppera för att skriva ett binärt tal i bas 4?
Hur många siffror ska du gruppera om du vill skriva ett ternärt (bas 3) tal med bas 27?
Det här fattar jag. Jag undrar hur man ska visa det generllt?
Visa vad generellt?
Visa hur många siffror m man ska gruppera för att enligt den metoden omvandla ett tal i bas b1 till bas b2?
Yngve skrev:Visa vad generellt?
Visa hur många siffror m man ska gruppera för att enligt den metoden omvandla ett tal i bas b1 till bas b2?

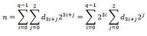
En sådan bevisföring menar jag. Det som jag inte hänger med i bevisföringen är hur antagandet att "antalet termer i den här summan är en multipel av 3" kan vara giltigt?
Om det inte är en jämn multipel av 3 från början så kan man stoppa dit termer med koefficienten 0 så det blir en jämn multipel av 3. T.ex. .
Marx skrev:Det som jag inte hänger med i bevisföringen är hur kan antagandet att "antalet termer i den här summan är en multipel av 3" är giltigt?

Yngve skrev:Marx skrev:Det som jag inte hänger med i bevisföringen är hur kan antagandet att "antalet termer i den här summan är en multipel av 3" är giltigt?
Yesss! Nu är jag med.
Laguna skrev:Om det inte är en jämn multipel av 3 från början så kan man stoppa dit termer med koefficienten 0 så det blir en jämn multipel av 3. T.ex. .
En annan fråga! Hur har de delat upp summan i två summor?
Vilka två summor menar du?
Marx skrev:Laguna skrev:Om det inte är en jämn multipel av 3 från början så kan man stoppa dit termer med koefficienten 0 så det blir en jämn multipel av 3. T.ex. .
En annan fråga! Hur har de delat upp summan i två summor?
De klumpar ihop de binära talen tre och tre och tittar på varje klump för sig. Det står ju i texten ovanför att det är det de gör!
Laguna skrev:Vilka två summor menar du?

Marx skrev:Laguna skrev:Vilka två summor menar du?
Ingen idé?
Smaragdalena skrev:Marx skrev:Laguna skrev:Om det inte är en jämn multipel av 3 från början så kan man stoppa dit termer med koefficienten 0 så det blir en jämn multipel av 3. T.ex. .
En annan fråga! Hur har de delat upp summan i två summor?
De klumpar ihop de binära talen tre och tre och tittar på varje klump för sig. Det står ju i texten ovanför att det är det de gör!
Det svarade jag på igår.