4
svar
308
visningar
Nerran behöver inte mer hjälp
Binomialsats, bestäm a och b i utvecklingen, fråga 28 från VT 15

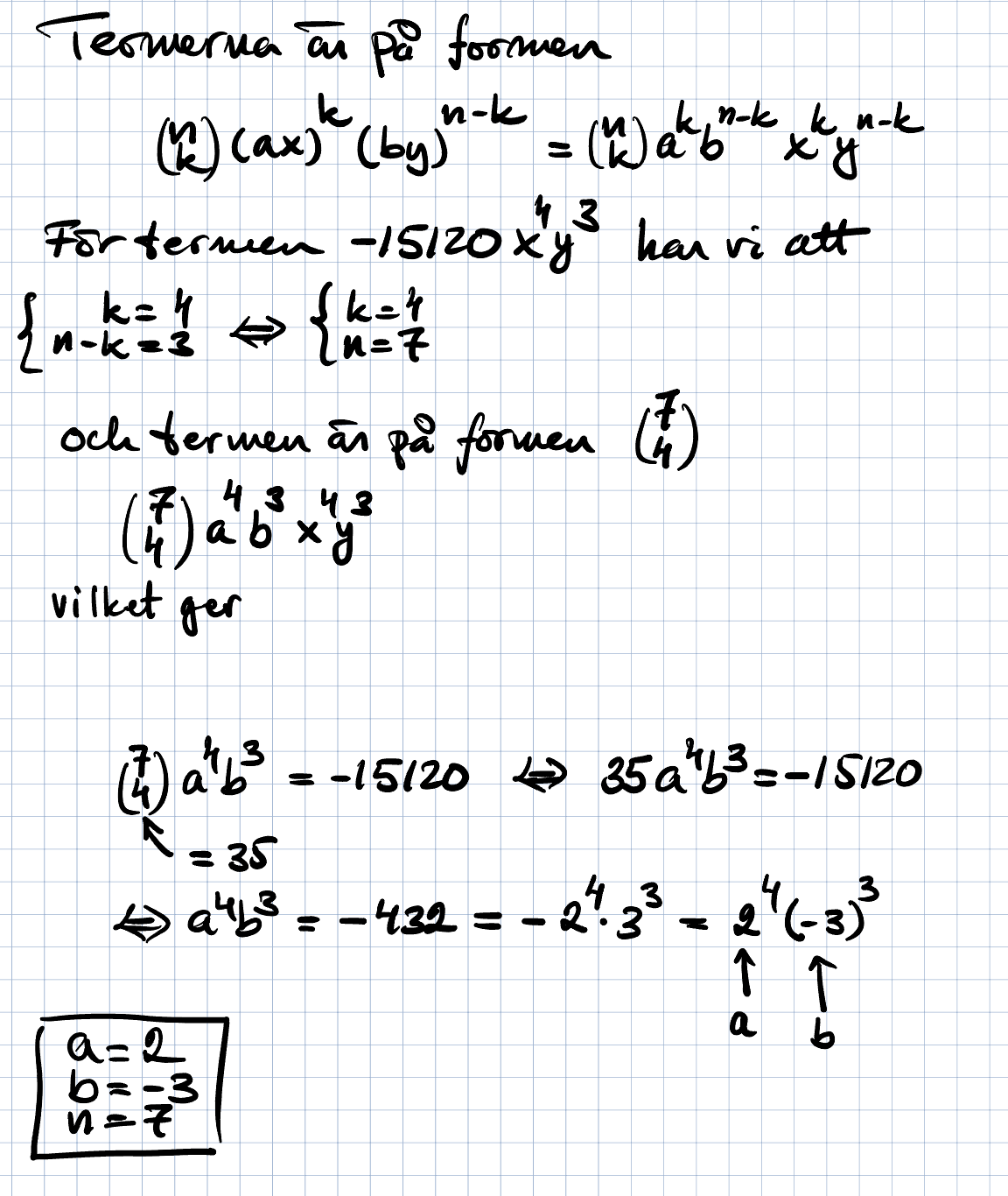
Hej! Jag försöker lösa uppgiften genom att använda binomialsatsen. Jag har börjat en bra bit och bestämt talet n, men vet inte hur jag ska fortsätta med talen a och b.
såhär ser det ut just nu:

Visa spoiler

Jag behöver bara förstå hur -432 delas upp i -2^4 och 3^3. Ska jag tänka på delbarhetsreglerna?
Nerran skrev:Jag behöver bara förstå hur -432 delas upp i -2^4 och 3^3. Ska jag tänka på delbarhetsreglerna?
Primtalsfaktorisera är en bra start sedan får man se på multipliciteterna
tack så mycket!