Binomialsats, "Visa att", fråga 16 från VT15 kursprov

Hej!
Jag har problem med både a) och b). Jag kan se att det är om binomialsatsen, men jag vet inte hur jag ska göra.
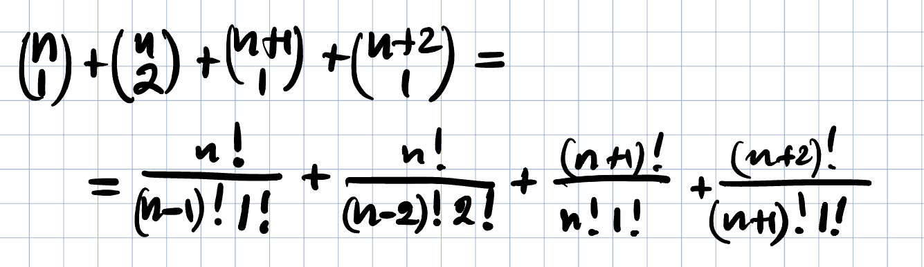
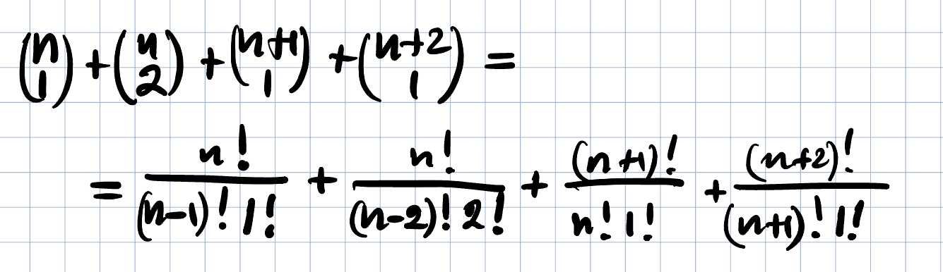
På fråga a) har jag försökt räkna ut VL för sig och se om det blir som i HL, men jag får fel svar. Jag tar nPr(12,1) nPr(12,2) och nPr(13,1) enskilt och adderar ihop de, men det blir inte nPr(14,2). Har även försökt att utveckla förenkla VL men kommer inte så långt. Hur ska jag göra?
på fråga b) är det egentligen samma sak där också, har försökt addera ihop de men får inte rätt svar.
Här är facit om det skulle underlätta:

Vad får du för mellanresultat i a?

Hej! jag försökte göra om den nu och jag har troligen fått till den nu. Jag tror felet var att jag utvecklade de fel, och gjorde den digitalt med nPr istället för nCr. Men hur skiljer jag på de? För beräkningen är väll samma för permutationer och kombinationer. Båda är väll att man räknar totala antalet val som finns, och delar sedan med antalet urval, för att bli av med de val man inte söker.
nPr är inte samma sak som nCr.
det jag har förstått är att nPr är permutationer, och då spelar ordningen roll. nCr är kombinationer, och då spelar ordningen inte roll. Men jag har svårt att avgöra om jag ska räkna med nPr eller nCr, finns det tips/knep?
det börjar klarna nu, dock har jag fortfarande svårt med b) hjälp plssss
Kommer du vidare?

Ja! tack så mycket!