3
svar
161
visningar
Binomialsatsen
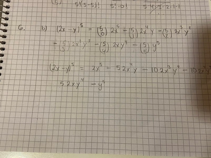
Man ska utveckla (2x-y)^5 mha binomialsatsen och jag kom fram till detta, bifogar bild men det är tydligen fel. Vad är det jag gjort fel? Tack i förhand!

glöm inte paranteserna runt 2x. Det ska väl vara (2x)^5, inte 2x^5.
blir y inte positiv när den är upphöjt till jämna tal?
Mja, skriv (a+b)5 och stoppa in a=2x och b=-y. Var nog med parenteserna :)