1
svar
118
visningar
Kpalle behöver inte mer hjälp
Binomialsatsen
Hej! Jobbar en uppgift som lyder såhär:

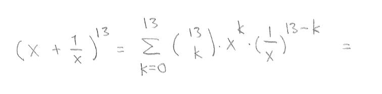
Min uträkning:

Jag fattar inte om hur jag ska fortsätta. Rätt svar blir 8..
Till att börja med söker du så att: