Binomialsatsen
Hej!
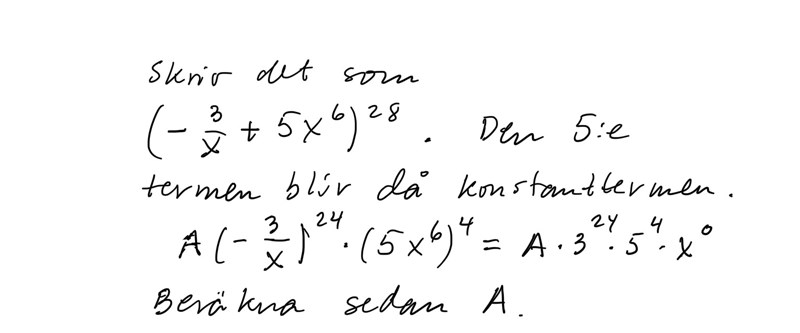
Jag vet ej var jag ska börja här än att tänka a=5 ogh b=-3 och så har jag gjort såhär hittils. Verkar vara en lång för n=28.


Du behöver inte bestämma alla termer.
Vilken term får exponenten 0?
(…x6 + …x–1)28 = … +…x6(…) x–1(…) +
Marilyn skrev:Du behöver inte bestämma alla termer.
Vilken term får exponenten 0?
(…x6 + …x–1)28 = … +…x6(…) x–1(…) +
Vad menar du med exponenten 0? Är det ej 5^28?
Jan Ragnar skrev:
Jag hänger ej med riktigt.. vad är A 3^y ,5^4 och x^0 och varför gör du den uppdelningen?
Nu kan du ju använda binomialsatsen.
x-faktorn blir x–24 x24 = x0 = 1 så det är konstanttermen du hittat.
Konstanten är A (–3)24 54 där A = (28 över 4)
Marilyn skrev:Nu kan du ju använda binomialsatsen.
x-faktorn blir x–24 x24 = x0 = 1 så det är konstanttermen du hittat.
Konstanten är A (–3)24 54 där A = (28 över 4)
Jag får inget jämnt k när jag gör såhär.

Jag förstår inte riktigt vad du gör. k är ju 4, det var det som gav konstanttermen.
Jag kan räkna fel men får termen till 324 54 28! / (4! 24!) ≈ 3,6 gånger 1018
Marilyn skrev:Jag förstår inte riktigt vad du gör. k är ju 4, det var det som gav konstanttermen.
Jag kan räkna fel men får termen till 324 54 28! / (4! 24!) ≈ 3,6 gånger 1018
Ja jag gjorde nog slarv men rättade mig själv till slut. Tack ändå!
