Binomialsatsen
Hej
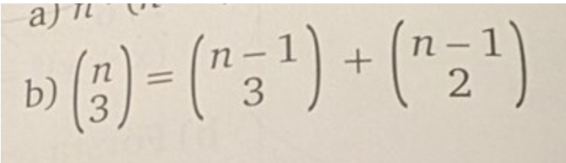
Jag undrar hur man löser fråga 1195 b). Kan inte.

Frågade en AI.
Eller jag försökte idag igen och fattar inte ett smack i alla fall.. någon som orkar förklara
Här i facit näst längst ned har man tagit ut ett n någonstans och (n-3) har gjorts om till -3(n-1)(n-2). Begriper i princip ingenting.

Facit är onödigt "elegant" och, under en provsituation, fullständigt meningslös.
Vi vill visa

och vi expanderar VL och HL genom ren algebra och får två lika utryck och vi är klara

Vi måste dock kunna definitionen av binomialtalen.
Hej, jag är ledsen men jag har ingen aning om vad du har skrivit.
Dkcre skrev:Hej, jag är ledsen men jag har ingen aning om vad du har skrivit.
Kan du expandera dessa 3 uttryck till polynom?

Nej, det här är allt jag kan:

Tänk på at
n! = n(n-1)(n-2)(n-3)!
Gör samma sak på (n-1)! så du få något som du kan förkorta med nämnaren.
Såhär?
