1
svar
46
visningar
LudwigHortlund behöver inte mer hjälp
Binomialsatsen, fler paranteser.
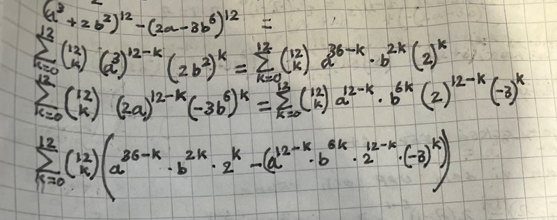
Jag har problem med följande uppgift(b):
Jag förstår att jag ska använda binominalsatsen och har försökt men kommer inte fram till något som rimligen kan vara svaret. Svaret skall vara . Jag lyckades tidigare få fram de första två faktorerna men förstår inte vart 28 kommer ifrån. Jag försökte sedan med följande men lyckades ej:
I första termen har ska a3 upphöjas till 3 för att det ska bli a9. Det innebär att 2b2 ska upphöjas till 9. Detta ger (12 över 3)a9 29 .b18
I andra termen ska 2a upphöjas till 9 och 3b6 upphöjas till 3. Det ger
–(12 över 3)29a9(–3)3b18
Koefficienten framför a9b18 blir (12 över 3)29 –(12 över 3)29(–3)3 =
= (12 över 3) 29 (1+27) stämmer med facit