Binomialsatsen och expansion
Har helt kört fast här. Var ska jag börja med uppgiften?


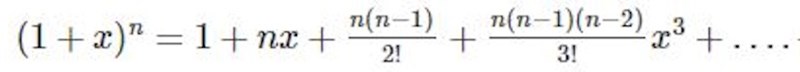
Kan du utifrån bilden hitta de tre termerna i den aritmetiska talföljden?
Edit: På tredje termen saknas x^2.
När jag expanderar får jag:
Förstår inte hur jag fortsätter efter detta.
Vilken är den andra termen i utvecklingen?
Vilken är den tredje termen i utvecklingen?
Vilken är den fjärde termen i utvecklingen?
alltså är u2= n
u3=(n^2-n) osv
Coefficent = talet före x?
Och för att det är en aritmetisk talföljd:
u3-u2 = u4-u3
u3=(n^2-n)/2
u4=?
Byt ut dem i ekvationen du skrev.
Ja, men då blir det:
Om man simplifierar ner blir detta den angivna ekvationen.
Men varför använder man sig av den andra versionen av binomialsatsen, och inte ursprunget?
Vad menar du med "den andra versionen av binomialsatsen"?