2
svar
123
visningar
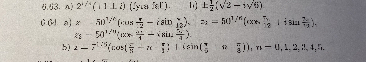
Binomiska ekvationer

Jag behöver hjälp med 6.64 a). Beräkningarna är lite röriga, men visst blir argz=7pi/4? För sedan får jag beloppet, och därefter ska jag räkna ut argumenten, men jag ser redan nu från facit (se nedan) att mina argument inte stämmer överens med facit. Ska man använda negativt argument dvs. -pi/4? Eller vad gör jag för fel?

Första steget är att kolla om du och facit är överens, trots att det ser olika ut: Rita två komplexa talplan. Rita in dina lösningar i det ena och facits lösningar i det andra. Jämför.