2
svar
81
visningar
Urboholic behöver inte mer hjälp
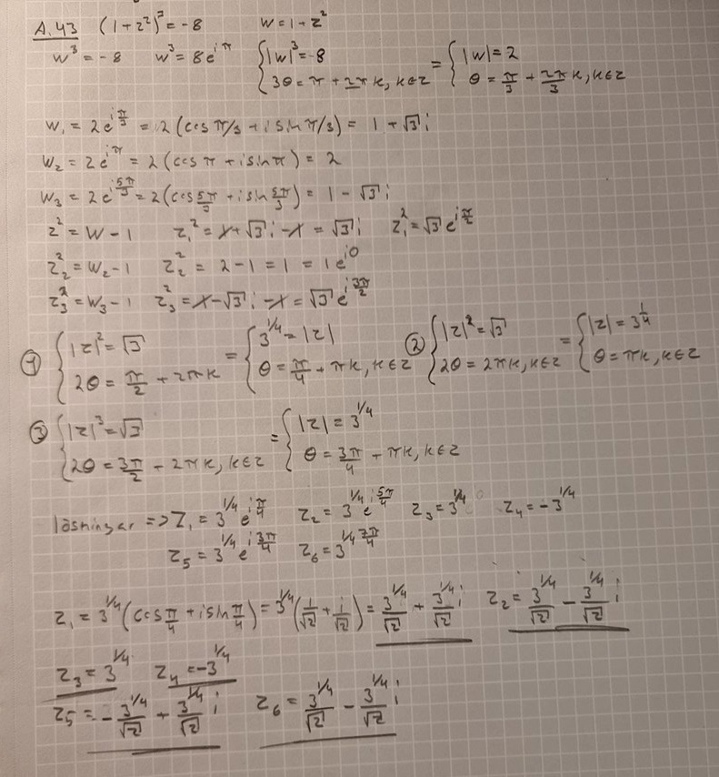
Binomiska ekvationer.
Jag görsöker lösa uppgiften
Och jag har löst den enligt följande
men facit säger att svaren är , ,(totalt 6 rötter)
Men jag ser inte vart det kan ha blivit fel. någon som kan ge ett tips :)?

Ett fel är att w2 ska vara -2, inte 2.
Sen har jag inte letat efter fler fel.
ah tack. måste varit lite blind haha :).