Blandningspeoblem
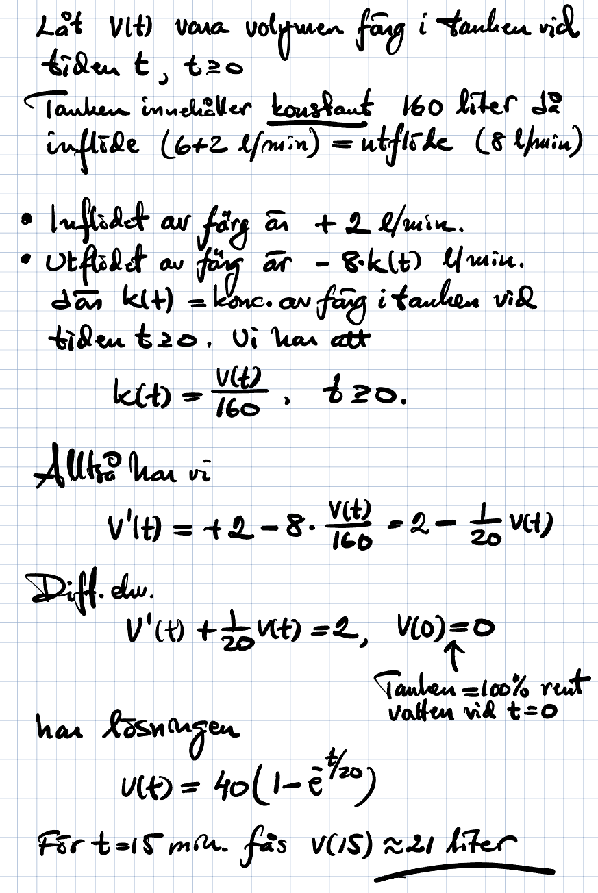
En tank med 160 L vatten blandas med färgämne. Det tillförts 6 L/min rent vatten och 2 L/min färgämne. Blandningen rinner ut med hastigheten 8L/min. Hur många liter färg finns i tanken efter 15 min?
hur ska jag tänka???
Om du kallar mängden färg i tanken för F
så kan du försöka formulera dF/dt
dF/dt = (tillförd färgmängd - bortförd färgmängd)
tillförd färgmängd är 2
Hur vet jag bortförd färgmängd? jag vet ju bara att hela blandningen rinner ut med hastigheten 8L/min
Det är F liter färg i hela tanken som rymmer 160 liter
Jag tror att det är enklast att tänka i "-termer". Vad händer under tiden ? Det kommer in 6 l vatten per minut och 2 l färg per minut. Vi måste anta att det råder perfekt omrörning, annars går det inte att lösa. Vad rinner ut då?
Ha en fin dag skrev:tillförd färgmängd är 2
Hur vet jag bortförd färgmängd? jag vet ju bara att hela blandningen rinner ut med hastigheten 8L/min
Visa spoiler
