7 svar
155 visningar
Palestina behöver inte mer hjälp
Palestina 9
Postad: 11 mar 2018 20:25

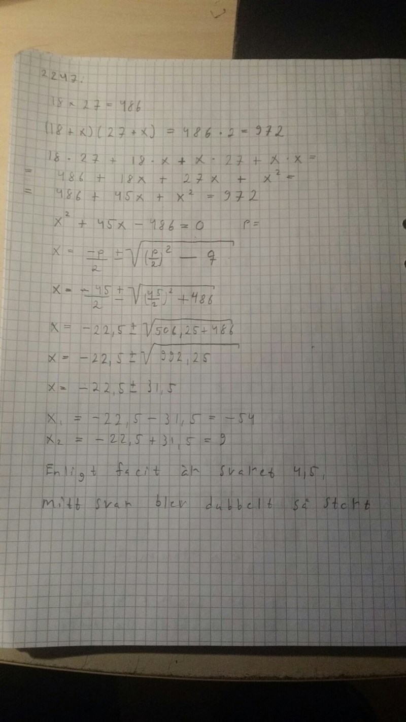
Blir fel vid användning av lösningsformeln

Vad gick fel?

Smaragdalena 78892 – Avstängd
Postad: 11 mar 2018 20:54

Hur äruppgiften formulerad? Skall du lösa ekvationen x2+45x-486=0 x^2+45x-486 = 0 ? I så fall är du och WolframAlpha överens.

Palestina 9
Postad: 11 mar 2018 21:19

Ahh, hemskt ledsen. Jag borde ha inkluderat uppgiften.

AndersW 1622
Postad: 11 mar 2018 21:32

Jo men du har räknat rätt bara satt upp den lite konstigt. I din ekvation är bredden av remsan = x/2. Om du istället satt upp sidorna till (2x+27) och (2x+18) hade du fått ut rätt svar på en gång.

Palestina 9
Postad: 11 mar 2018 21:45
AndersW skrev :

Jo men du har räknat rätt bara satt upp den lite konstigt. I din ekvation är bredden av remsan = x/2. Om du istället satt upp sidorna till (2x+27) och (2x+18) hade du fått ut rätt svar på en gång.

Ursäkta mig, men jag är lite förvirrad just nu.

Varför just (2x+27) och (2x+18)?

Yngve 42664
Postad: 11 mar 2018 21:49 Redigerad: 11 mar 2018 21:51
Palestina skrev :
AndersW skrev :

Jo men du har räknat rätt bara satt upp den lite konstigt. I din ekvation är bredden av remsan = x/2. Om du istället satt upp sidorna till (2x+27) och (2x+18) hade du fått ut rätt svar på en gång.

Ursäkta mig, men jag är lite förvirrad just nu.

Varför just (2x+27) och (2x+18)?

Eftersom du har skrivit att den nya bredden är 18 + x meter och den nya längden är 27 + x meter så är det x som du har räknat fram bredden av två remsor. En på ena sidan och en på andra sidan.

Det går utmärkt att göra som du har gjort men svaret du får är alltså bredden av två remsor.

AndersW 1622
Postad: 11 mar 2018 21:51

Du har satt upp sidorna till x+27 och x+18. Men som du ser på bilden så är det ju lika bred remsa runt om. Det innebär att x i ditt fall är remsans bredd på båda sidorna av den ursprungliga gräsmattan. Därför får du ut dubbla bredden.

Om du istället sätter remsans bredd till x kommer bredden av den nya gräsmattan att bli x+x+27 = 2x+27 och på samma sätt höjden att bli 2x.18.

Palestina 9
Postad: 11 mar 2018 22:21
AndersW skrev :

Du har satt upp sidorna till x+27 och x+18. Men som du ser på bilden så är det ju lika bred remsa runt om. Det innebär att x i ditt fall är remsans bredd på båda sidorna av den ursprungliga gräsmattan. Därför får du ut dubbla bredden.

Om du istället sätter remsans bredd till x kommer bredden av den nya gräsmattan att bli x+x+27 = 2x+27 och på samma sätt höjden att bli 2x.18.

Hmm, intressant.

Jag hade förväntat mig att svaret skulle bara bli ännu längre ifrån rätt om jag ökar på x till 2x.

Men nu när jag väl har löst den på detta sätt, funkar det utmärkt. Vid en del av lösningen delar jag "4x^2 + 90x + 486" med 4, vilket ger mig mer realistiska värden för det svar jag är ute efter och jag får i slutändan 4.5.

Ärligt talat, tack. Ni har alla varit till stor hjälp. Som elev på naturvetenskapsprogrammet är jag otroligt tacksam över den tid ni tar till att hjälpa mig. Kanske borde jag själv bidra till denna gemenskap med tanke på att ni är villiga att hjälpa mig ganska sent på kvällen.

Svara
Close