Blockmatris, egenvärde och egenvektor beräkning
Försöker räkna ut egenvärden och egenvektorer till matrisen men egenvärden för B är lite skumma?


De ser rätt ut tycker jag men däremot så påverkar de inte egenvärdena för blockmatrisen i detta fall.
Tänk på att determinanten till
ges av
Därmed kommer egenvärdena till blockmatrisen att vara precis de egenvärden vi får från matriserna samt och är irrelevant här.
Freewheeling skrev:De ser rätt ut tycker jag men däremot så påverkar de inte egenvärdena för blockmatrisen i detta fall.
Tänk på att determinanten till
ges av
Därmed kommer egenvärdena till blockmatrisen att vara precis de egenvärden vi får från matriserna samt och är irrelevant här.
Ah, just det, sant att de inte påverkar egenvärden för hela matrisen, tack!
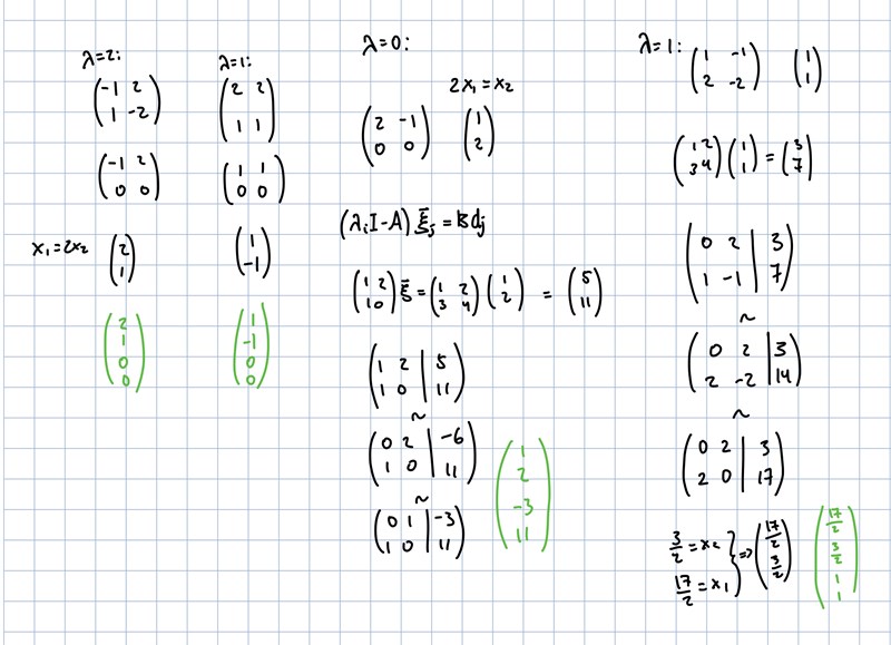
Ser egenvektorerna rätt ut?
