BNP-trend för Sverige 1950-2020 (HP filter)
Hej,
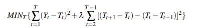
Jag behöver hjälp med att räkna ut vilka värden som efterfrågas i denna funktion:

Jag ska räkna fram BNP-trend för Sverige 1950-2020.
I instruktionerna framgår följande: yt är lika med logaritmerad real BNP i period t, Tt är trendkomponenten i period t
och ct är lika med den cykliska komponenten i period t. Perioderna är T till antalet och i
ett datamaterial motsvarar alltså t=1 den första perioden i materialet och T den sista i
materialet. I exemplet i diagram 1 skulle alltså 1950 motsvara period 1 och 2012 period
T.
Jag har svårt att tolka (Tt+1-Tt) - (Tt-Tt-1)
Min tolkning är: (Tt+1-Tt) efterfrågas värden för år 1951-1950 . Den andra delen har jag lite problem med (Tt-Tt-1). Vilka värden efterfrågas där?
Någon som kan hjälpa?
Mvh
Ronny
Hej
Listade ut att det är ((1952-1951) - (1951-1950))^2 som efterfrågas för den som är intresserad.
Mvh
Hej Ronxmaine!
Jag sitter fast med liknande till denna uppgiften. Har du lust att hjälpa mig? :)
/Cornelia