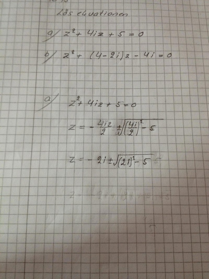
Du har fått med ett z för mycket på andra raden (fast det har försvunnit på tredje raden). Vad får du under rottecknet när du förenklar?
2i -5
Man kan tycka att det är en bagatell, att ett z för mycket dyker upp på andra raden och sedan är borta igen på nästa rad.
Men det visar tre saker:
För det första har du inte kontrollerat din andra rad noga. Du vet ju egentligen att det inte ska stå z där. Visst är det lätt att göra ett slarvfel, men just därför bör man kontrollera sina beräkningar noga.
För det andra undrar jag hur du kunde få rätt igen på den tredje raden. Du kan ju omöjligen ha räknat från rad två till rad tre, eller hur? Har du skrivit den tredje raden genom att "tänka direkt" från själva uppgiften, utan att utnyttja mellanresultatet från rad två? Om det är så, varför skrev du rad två över huvud taget?
För det tredje undrar jag om du har gått igenom vad du skrivit, från början till slut. I så fall borde du märkt skillnaden från rad två till rad tre.
Jag vet naturligtvis inte varför det blev så här, men om det skulle vara som jag gissar, så bör du tänka på
- att kontrollera vad du skriver
- att inte "tänka i förväg" utan ta ett steg i taget
- att gå genom hela tankegången igen, när du har kommit fram
Svar på ditt senaste inlägg: (2i)^2 är inte lika med 2i
Det är 4i
Det gäller att
Då blir det ändå i som slut resultat.
Tack så mycket Stokadtisk för detta!
Jag har försökt lösa det som andra grads ekvation. Z ska alltså bort. Det var inget jag visste om. Ska z bort från andra och tredje raden?
Ja du kommer få ett icke reellt slutresultat, vad får du för lösningar?
Z1= i
z2= -5i
Päivi skrev :Då blir det ändå i som slut resultat.
Vad menar du med slutresultat, och vad är det som blir i? Du skrev att 2*i*2*i skulle blir 4i, men det blir -4.
Jag har försökt lösa det som andra grads ekvation. Z ska alltså bort. Det var inget jag visste om. Ska z bort från andra och tredje raden?
Jo, du vet hur man löser en andragradsekvation. Det vi försöker göra dig uppmärksam på är vad jag har rödmarkerat:

Päivi skrev :Z1= i
z2= -5i
Detta stämmer bra.
Du menar den z, nu förstår jag.
4i= 4* (-1)= -4
Päivi skrev :4i= 4* (-1)= -4
NEJ!!!
Nu har du ju skrivit att i är samma sak som -1.
i*i är lika med -1
Tack för påpekande Bubo och tack för hjälpen Stokastisk.
i ^2= -1
